М
Молодежь
К
Компьютеры-и-электроника
Д
Дом-и-сад
С
Стиль-и-уход-за-собой
П
Праздники-и-традиции
Т
Транспорт
П
Путешествия
С
Семейная-жизнь
Ф
Философия-и-религия
Б
Без категории
М
Мир-работы
Х
Хобби-и-рукоделие
И
Искусство-и-развлечения
В
Взаимоотношения
З
Здоровье
К
Кулинария-и-гостеприимство
Ф
Финансы-и-бизнес
П
Питомцы-и-животные
О
Образование
О
Образование-и-коммуникации
9854123g
9854123g
27.02.2021 16:02 •  Математика

Вероятность попадания стрелком в цель при одном выстреле составляет 0,6. найти вероятность 6 попаданий при 10 выстрелах;

👇
Ответ:
777777770
777777770
27.02.2021
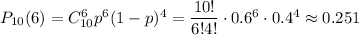
Вероятность успеха в одном испытании, равна p=0.6. По схеме Бернулли, вероятность 6 попаданий при 10 выстрелах, равна

P_{10}(6)=C^6_{10}p^6(1-p)^4= \dfrac{10!}{6!4!}\cdot0.6^6\cdot0.4^4\approx 0.251
4,7(32 оценок)
Открыть все ответы
Ответ:
КБД2006
КБД2006
27.02.2021

Билет на первый кинофильм могут получить 7 человек. Билет на второй кинофильм могут получить 6 человек, так как 1 человек уже получит билет на первый кинофильм. Билет на третий кинофильм могут получить 5 человек, так как 2 человека уже получат билет на первый и второй кинофильмы. Билет на четвёртый фильм могут получить 4 человека, так как 3 человека уже получат билеты на первый, второй и третий фильмы.

Значит, получается:

1) 7 × 6 × 5 ×4 = 840 (сп) распределить 4 билета между 7-ью друзьями.

Удачи (:

ответ: Существуют

4,4(34 оценок)
Ответ:
KÆTÉ
KÆTÉ
27.02.2021
Золотое правило нравственности - общее этическое правило, которое можно перевести, как "Относись к людям так, как ты хочешь, чтобы относились к тебе", или "Не делай другим того, чего желаешь себе".
В христианстве:В Новом Завете это правило неоднократно повторяется в словах Иисуса Христа:"Итак во всем, как хотите, чтобы с вами поступали люди, так поступайте и вы с ними, ибо в этом закон и пороки"В иудизме:В Пятикнижии: "Возлюби ближнего твоего, как самого себя".В исламе:В Коране золотое правило не встречается, однако найдено одно из изречений Мухаммеда: "Делайте всем людям то, что вы бы желали, чтобы вам делали люди,  и не делайте другим того, чего не желаете себе".
4,6(89 оценок)
Это интересно:
Новые ответы от MOGZ: Математика
logo
Вход Регистрация
Что ты хочешь узнать?
Спроси Mozg
Открыть лучший ответ