М
Молодежь
К
Компьютеры-и-электроника
Д
Дом-и-сад
С
Стиль-и-уход-за-собой
П
Праздники-и-традиции
Т
Транспорт
П
Путешествия
С
Семейная-жизнь
Ф
Философия-и-религия
Б
Без категории
М
Мир-работы
Х
Хобби-и-рукоделие
И
Искусство-и-развлечения
В
Взаимоотношения
З
Здоровье
К
Кулинария-и-гостеприимство
Ф
Финансы-и-бизнес
П
Питомцы-и-животные
О
Образование
О
Образование-и-коммуникации
Вапрос86
Вапрос86
16.12.2020 17:00 •  Математика

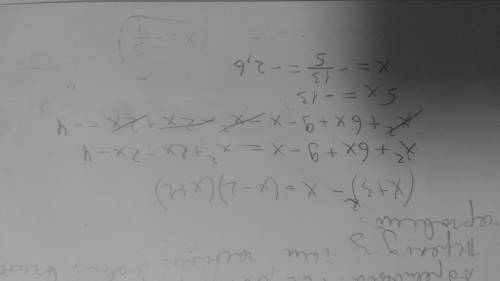
Решите уравнение (x+3)^2-x=(x-2)(x+2)

👇
Ответ:
Решение прикреплено на фото
Решите уравнение (x+3)^2-x=(x-2)(x+2)
4,6(24 оценок)
Открыть все ответы
Ответ:
panaitov023
panaitov023
16.12.2020

Никак.

Пошаговое объяснение:

Сократить дробь можно в том случае, если в знаменателе и числителе есть общие множители. Ну к примеру:

12 / 20 = (3 * 2 * 2) / (2 * 5 * 2) = (3) / (5) - множители сократились.

Когда нельзя сократить число?

Когда в знаменателе или числителе простые числа.

Простое число - это число, имеющее ровно два делителя, единицу и себя. Попробуй разложить на множители число 7. Ну или 11. Твои числа 23 и 53 являются простыми. Их не разложить на множители, значит и сократить дробь никак нельзя.

4,6(46 оценок)
Ответ:

Слайд 5

Слон, слониха и слонёнок пришли напиться к озеру, чтобы напиться воды. Слон может выпить озеро за 3ч, слониха - за 5ч, а слонёнок - за 6ч. За сколько времени они все вместе выпьют озеро? Решение: Слон - 1 озеро 3ч 10 озёр 30ч Слониха- 1 озеро 5ч 6 озёр 30 ч. Слонёнок- 1 озеро 6ч 5 озёр 30 ч. НОК(3,5,6)=30 1)10+6+5=21(озеро) выпьют слон, слониха и слонёнок за 30часов, 2)30:21=1 3/7 (ч) они вместе выпьют озеро. ответ: 1 3/7 часа.

Слайд 6

2. Древний Египет Египтяне ввели в обращение дроби 1/2, 1/3, 1/28 – их называли основными или единичными, было специальное обозначение для дроби 2/3, не совпадающее с обозначениями для других дробей. Все остальные дроби египтяне старались записать как суммы долей, т.е. дробей вида 1/ n . Например, вместо 8/15 они писали 1/3+1/5. Иногда это бывало удобно Древнеегипетский папирус около 2000 лет до н.э.

Слайд 7

Приходит пастух с 70 быками. Его спрашивают: - Сколько приводишь ты из своего многочисленного стада? Пастух отвечает: - Я привожу две трети от трети скота. Сочти, сколько быков в стаде? Решение: 70 быков составляют 2/3 от1/3 1) 2/3*1/3=2/9 составляют 70 быков. 2) 70 : 2/9= 315(быков) составляют стадо. ответ: 315 быков

4,5(72 оценок)
Это интересно:
Новые ответы от MOGZ: Математика
logo
Вход Регистрация
Что ты хочешь узнать?
Спроси Mozg
Открыть лучший ответ