М
Молодежь
К
Компьютеры-и-электроника
Д
Дом-и-сад
С
Стиль-и-уход-за-собой
П
Праздники-и-традиции
Т
Транспорт
П
Путешествия
С
Семейная-жизнь
Ф
Философия-и-религия
Б
Без категории
М
Мир-работы
Х
Хобби-и-рукоделие
И
Искусство-и-развлечения
В
Взаимоотношения
З
Здоровье
К
Кулинария-и-гостеприимство
Ф
Финансы-и-бизнес
П
Питомцы-и-животные
О
Образование
О
Образование-и-коммуникации
mokovanins
mokovanins
30.03.2023 17:20 •  Математика

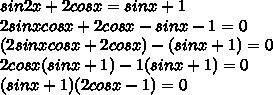
Sin 2х + 2cosx= sinx+1 решите этот пример

👇
Ответ:
kira1180
kira1180
30.03.2023
Вот
 ...........................................

Sin 2х + 2cosx= sinx+1 решите этот пример
4,5(43 оценок)
Открыть все ответы
Ответ:
remzoooo
remzoooo
30.03.2023

5/Задание № 3:

На доске были записаны 10 последовательных натуральных чисел. Когда стёрли одно из них, то сумма девяти оставшихся получилась 2017. Какое число стёрли?

РЕШЕНИЕ: Найдем сумму 10 чисел: х+х+1+х+2+х+3+х+4+х+5+х+6+х+7+х+8+х+9=10х+45

Если вычеркнули наименьшее число, то сумма стала 9х+45, если вычеркнули наиболее число, то сумма стала 9х+36.

Значит, число 2017 с одной стороны не меньше 9х+36, с другой стороны не больше 9х+45.

9х+36<=2017

9х<=1981

х<=220+1/9

9х+45>=2017

9х>=1972

х>=219+1/9

Значит, х=220.

Сумма 10 чисел: 10х+45=10*220+45=2245

Вычеркнутое число 2245-2017=228

ОТВЕТ: 228

4,4(67 оценок)
Ответ:
TABLBC
TABLBC
30.03.2023

В Каждой упаковке

- 10 тетрадей в линейку

или

- 16 тетрадей в клетку

Пошаговое объяснение:

Пусть, в упаковке

х - тетрадей в клетку

у - тетрадей в линейку

8 упаковок в клетку и 6 упаковок в линейку = 188 Тетрадей, т.е.

8х + 6у = 188

Т.к. в одной упаковке тетрадей в клетку на 6 штук больше чем тетрадей в линейку, получаем

х = у + 6

Решаем систему из 2х уравнений:

х = у + 6

8х + 6у = 188

Замена х на (у+6)

8(у+6) + 6у = 188

х = у + 6

Раскрываем скобки,

8у+ 48 + 6у = 188

х = у + 6

Оставляем слева только то, что с переменной, остальное вправо

14у = 188 - 48 = 140

х = у + 6

Вычисляем х и у

у = 140 / 14 = 10 - линейку

х = 10 + 6 = 16 - клетка

В Каждой упаковке

- 10 тетрадей в линейку

- 16 тетрадей в клетку

4,5(90 оценок)
Новые ответы от MOGZ: Математика
logo
Вход Регистрация
Что ты хочешь узнать?
Спроси Mozg
Открыть лучший ответ