М
Молодежь
К
Компьютеры-и-электроника
Д
Дом-и-сад
С
Стиль-и-уход-за-собой
П
Праздники-и-традиции
Т
Транспорт
П
Путешествия
С
Семейная-жизнь
Ф
Философия-и-религия
Б
Без категории
М
Мир-работы
Х
Хобби-и-рукоделие
И
Искусство-и-развлечения
В
Взаимоотношения
З
Здоровье
К
Кулинария-и-гостеприимство
Ф
Финансы-и-бизнес
П
Питомцы-и-животные
О
Образование
О
Образование-и-коммуникации
КитиКэт13
КитиКэт13
26.10.2021 02:45 •  Математика

Знайти загальний розв'язок диференціального рівняння y"'+y"=4*×

👇
Ответ:
MASTER25575
MASTER25575
26.10.2021
Найдем сначала общее решение соответствующего однородного уравнения
y'''+y''=0

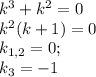
Пусть y=e^{kx}, тогда перейдем к характеристическому уравнению
k^3+k^2=0\\ k^2(k+1)=0\\ k_{1,2}=0;\\ k_3=-1

Общее решение однородного ур-я: y=C_1+xC_2+C_3e^{-x}

Рассмотрим функцию f(x)=4xe^{0\cdot x}
P_n(x)=4x~~~\Rightarrow~~~ n=1\\ \alpha =0

Сравнивая \alpha с корнями характеристического уравнения, и принимая во внимая, что n=1, частное решение будем искать в виде:
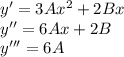
yч.н. = x^2(Ax+B)=Ax^3+Bx^2
y'=3Ax^2+2Bx\\ y''=6Ax+2B\\ y'''=6A

Подставим данные в исходное уравнение:
6A+6Ax+2B=4x\\ \\ 6Ax+6A+2B=4x

Приравниваем коэффициенты при степени x, получим:

\displaystyle \left \{ {{6A=4} \atop {6A+2B=0}} \right. ~~~\Rightarrow~~~ \left \{ {{A= \frac{2}{3} } \atop {2B=-4}} \right. ~~~\Rightarrow~~~ \left \{ {{A= \frac{2}{3} } \atop {B=-2 }} \right.

Частное решение: yч.н. = \frac{2x^3}{3}-2x^2

ОБЩЕЕ РЕШЕНИЕ НЕОДНОРОДНОГО УРАВНЕНИЯ:

y=y_{o.o}+yч.н. = C_1+xC_2+C_2e^{-x}+\frac{2x^3}{3}-2x^2
4,7(40 оценок)
Открыть все ответы
Ответ:
PolinaEpifanova
PolinaEpifanova
26.10.2021
1) 16*3 = 48 км - было расстояние между теплоходами на момент выхода второго.
12*16 = 192 км первый после выхода второго.
48+192 = 240 км второй.
240:12 = 20 км/ч - скорость второго теплохода.

2) В полдень от пристани А отправился теплоход со скоростью 16 км/ч. Через 3 часа навстречу ему из Б отправился второй теплоход и через 12 часов встретился с первым. С какой скоростью двигался второй теплоход?

3) Этих данных недостаточно. Нужно знать расстояние между пристанями. Пусть оно равно 480 км. Тогда:
12+3 = 15 ч - был в пути первый теплоход.
16*15 = 240 км первый до встречи.
480-240 = 240 км второй до встречи.
240:12 = 20 км/ч - скорость второго теплохода.
4,8(72 оценок)
Ответ:
Супер1009
Супер1009
26.10.2021
1) 16*3 = 48 км - было расстояние между теплоходами на момент выхода второго.
12*16 = 192 км первый после выхода второго.
48+192 = 240 км второй.
240:12 = 20 км/ч - скорость второго теплохода.

2) В полдень от пристани А отправился теплоход со скоростью 16 км/ч. Через 3 часа навстречу ему из Б отправился второй теплоход и через 12 часов встретился с первым. С какой скоростью двигался второй теплоход?

3) Этих данных недостаточно. Нужно знать расстояние между пристанями. Пусть оно равно 480 км. Тогда:
12+3 = 15 ч - был в пути первый теплоход.
16*15 = 240 км первый до встречи.
480-240 = 240 км второй до встречи.
240:12 = 20 км/ч - скорость второго теплохода.
4,4(44 оценок)
Новые ответы от MOGZ: Математика
logo
Вход Регистрация
Что ты хочешь узнать?
Спроси Mozg
Открыть лучший ответ