М
Молодежь
К
Компьютеры-и-электроника
Д
Дом-и-сад
С
Стиль-и-уход-за-собой
П
Праздники-и-традиции
Т
Транспорт
П
Путешествия
С
Семейная-жизнь
Ф
Философия-и-религия
Б
Без категории
М
Мир-работы
Х
Хобби-и-рукоделие
И
Искусство-и-развлечения
В
Взаимоотношения
З
Здоровье
К
Кулинария-и-гостеприимство
Ф
Финансы-и-бизнес
П
Питомцы-и-животные
О
Образование
О
Образование-и-коммуникации
AgumiChan
AgumiChan
09.08.2020 05:04 •  Математика

Найти наименьшее значение выражения: x^2+5y^2+4xy-4y+4 . при каких значениях переменных он его принимает? , !

👇
Ответ:
ghdvbeudv
ghdvbeudv
09.08.2020
X=-4
y=2
наименьшее значение 0
4,6(88 оценок)
Ответ:
v201612
v201612
09.08.2020
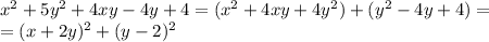
x^2+5y^2+4xy-4y+4=(x^2+4xy+4y^2)+(y^2-4y+4)= \\ =(x+2y)^2+(y-2)^2
Так как у нас сумма квадратов, то наименьшее возможное значение выражения не меньше 0. 
0 достигается при y=2 и x=0-2*2=-4
4,5(92 оценок)
Открыть все ответы
Ответ:
Anastasyu120
Anastasyu120
09.08.2020
1) 5+12=17
ответ:17
2)119/7=17
ответ:17
3)Пусть одно их этих чисел будет равно х, тогда второе число равно х+1. 
х+х+1=159
2ч=158
х=79 - первое число.
Второе число 79+1=80.
ответ:79 и 80
4)Пусть х, это первое число, тогда второе это х+38.
Тогда:
х+х+38=184
2х=184-38=146
х=146/2=73 - первое число.
73+38=111 - второе число.
ответ: 146 и 111
5)х в первый день
х во второй день
(х в третий день
х+х+3+х+3+3=105
3х=105-9=96
х=32 км в первый день
6)18 х 3 = 54 ( угла треугольника )
69 - 54 = 15 фигур четырехугольника 
18 - 15 = 3 фигуры треугольника

Проверка
15 х 4 + 3 х 3 = 69 углов
7)Х-количество метров ткани первого сорта
составляем уравнение
110*х+(49-х)*100=5150
110*х+4900-100*х=5150
10*х=250
х=250:10
х=25 м ткани первого сорта было куплено
49-25-24 м ткани второго сорта было куплено
8)пусть овощи стоят х рублей,тогда фрукты стоят (х+90) и х*2,сумма покупки одна и та же,т.е. имеем следующеее х+(х+90)=х+2*х
2*х+90=3*х
х=90 рублей стоят фрукты
90*2=180 стоят овощи
9)РешениеПусть тетради стоят x рублей. 
Тогда:(276 – x) : 0,6 – x = 60,276 – x = (60 + x) * 0,6,276 – x = 36 + 0,6x,1,6x = 276 – 36 = 240,x = 240 : 1,6 = 150 (рублей).ответ: тетради стоят 150 рублей.
10)Наибольшее двузначное число: 99.
Пусть х-третье число, тогда
99+4x+x=934
99+5x=934
5x=934-99
5x=835
x=167
4x— это второе число, тогда
4х=4*167=668
ответ: Саша задумал числа 99,167, и 668
11)2x+x+4=88
3x=88-4
3x=84
x= 84:3
x=28(кн) 1 полка
2)28*2=56(кн) 2 полка
3)28-4=24(кн) 3 полка
4,4(17 оценок)
Ответ:
flexELITE3
flexELITE3
09.08.2020
1) 5+12=17
ответ:17
2)119/7=17
ответ:17
3)Пусть одно их этих чисел будет равно х, тогда второе число равно х+1. 
х+х+1=159
2ч=158
х=79 - первое число.
Второе число 79+1=80.
ответ:79 и 80
4)Пусть х, это первое число, тогда второе это х+38.
Тогда:
х+х+38=184
2х=184-38=146
х=146/2=73 - первое число.
73+38=111 - второе число.
ответ: 146 и 111
5)х в первый день
х во второй день
(х в третий день
х+х+3+х+3+3=105
3х=105-9=96
х=32 км в первый день
6)18 х 3 = 54 ( угла треугольника )
69 - 54 = 15 фигур четырехугольника 
18 - 15 = 3 фигуры треугольника

Проверка
15 х 4 + 3 х 3 = 69 углов
7)Х-количество метров ткани первого сорта
составляем уравнение
110*х+(49-х)*100=5150
110*х+4900-100*х=5150
10*х=250
х=250:10
х=25 м ткани первого сорта было куплено
49-25-24 м ткани второго сорта было куплено
8)пусть овощи стоят х рублей,тогда фрукты стоят (х+90) и х*2,сумма покупки одна и та же,т.е. имеем следующеее х+(х+90)=х+2*х
2*х+90=3*х
х=90 рублей стоят фрукты
90*2=180 стоят овощи
9)РешениеПусть тетради стоят x рублей. 
Тогда:(276 – x) : 0,6 – x = 60,276 – x = (60 + x) * 0,6,276 – x = 36 + 0,6x,1,6x = 276 – 36 = 240,x = 240 : 1,6 = 150 (рублей).ответ: тетради стоят 150 рублей.
10)Наибольшее двузначное число: 99.
Пусть х-третье число, тогда
99+4x+x=934
99+5x=934
5x=934-99
5x=835
x=167
4x— это второе число, тогда
4х=4*167=668
ответ: Саша задумал числа 99,167, и 668
11)2x+x+4=88
3x=88-4
3x=84
x= 84:3
x=28(кн) 1 полка
2)28*2=56(кн) 2 полка
3)28-4=24(кн) 3 полка
4,5(35 оценок)
Это интересно:
Новые ответы от MOGZ: Математика
logo
Вход Регистрация
Что ты хочешь узнать?
Спроси Mozg
Открыть лучший ответ