М
Молодежь
К
Компьютеры-и-электроника
Д
Дом-и-сад
С
Стиль-и-уход-за-собой
П
Праздники-и-традиции
Т
Транспорт
П
Путешествия
С
Семейная-жизнь
Ф
Философия-и-религия
Б
Без категории
М
Мир-работы
Х
Хобби-и-рукоделие
И
Искусство-и-развлечения
В
Взаимоотношения
З
Здоровье
К
Кулинария-и-гостеприимство
Ф
Финансы-и-бизнес
П
Питомцы-и-животные
О
Образование
О
Образование-и-коммуникации
antanikeeva21
antanikeeva21
20.01.2021 15:26 •  Математика

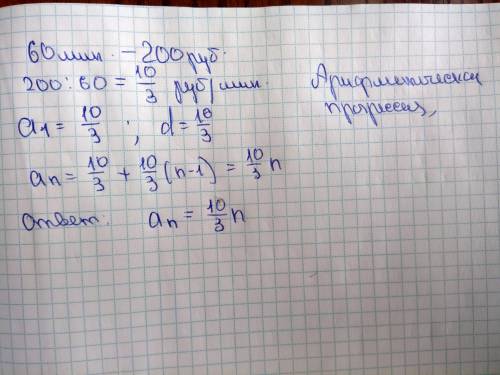
Не могу найти решение , разобраться. цена за 60 минут = 200 рублей нужна формула, любое число минут, какая сумма получится. например 30 минут это уже 100 рублей

👇
Ответ:
gornovayaveron
gornovayaveron
20.01.2021
Решение задания приложено
Не могу найти решение , разобраться. цена за 60 минут = 200 рублей нужна формула, любое число минут,
4,7(75 оценок)
Открыть все ответы
Ответ:
BabaShyra
BabaShyra
20.01.2021

 Падчерица трудолюбивая, воспитанная и послушная девочка. Она не перечила злой мачехе, делала все, что ей приказывали. Дочка мачехи злая девочка, ей не было жаль свою названную сестру. Дочка мачехи была еще и очень жестокой, она тоже отдала приказание сестре отправиться в лес во время вьюги.

о

Мачеха и ее дочь были грубыми, самодовольными, жестокими людьми.

Братья 12 месяцев были добрыми и умными, они девочку и поменялись на время местами, чтобы девочка могла вернуться домой и не погибнуть в холодном лесу. Среди братьев месяцев были разные по возрасту, но все они имели сострадание к человеку, попавшему в беду.


4,4(42 оценок)
Ответ:
Каримовка
Каримовка
20.01.2021
Чтобы разложить дроби в порядке убывания, необходимо все дроби привести к общему знаменателю. Приступим к этому занятию. 

Общий знаменатель у данных дробей будет 30.
 7   =   7*2   =  14
15      15*2      30

 3   =    3*3   =   9
10       10*3      30

2 = 2*6 = 12
5    5*6    30

Итак, у нас получились дроби: 
 7 = 14   ;  3  =  9   ;   2 = 12  
15   30     10    30      5    30

Теперь, когда у нас знаменатель у всех один, можно сравнивать числители получившихся дробей, чем больше числитель, тем больше вся дробь:

13, 14, 9, 12:

14>13>12>9

Получается:

14 > 13 > 12 > 9
30    30    30    30

Теперь вернём наши числа, запишем их в порядке убывания:
7/15, 13/30, 2/5, 3/10.
4,4(4 оценок)
Это интересно:
Новые ответы от MOGZ: Математика
logo
Вход Регистрация
Что ты хочешь узнать?
Спроси Mozg
Открыть лучший ответ