М
Молодежь
К
Компьютеры-и-электроника
Д
Дом-и-сад
С
Стиль-и-уход-за-собой
П
Праздники-и-традиции
Т
Транспорт
П
Путешествия
С
Семейная-жизнь
Ф
Философия-и-религия
Б
Без категории
М
Мир-работы
Х
Хобби-и-рукоделие
И
Искусство-и-развлечения
В
Взаимоотношения
З
Здоровье
К
Кулинария-и-гостеприимство
Ф
Финансы-и-бизнес
П
Питомцы-и-животные
О
Образование
О
Образование-и-коммуникации
ulchik4572
ulchik4572
22.05.2020 15:13 •  Математика

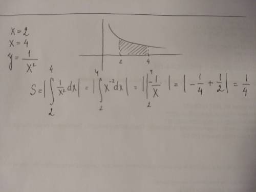
Найти площадь фигуры ограниченной осью абсцисс. прямыми x=2, x=4 и графиком функции y=1/x^2

👇
Ответ:
Маринрчка
Маринрчка
22.05.2020

Ловите решение. Знак модуля можно опустить, поскольку значение интеграла и так получается положительным.
Удачи вам!


Найти площадь фигуры ограниченной осью абсцисс. прямыми x=2, x=4 и графиком функции y=1/x^2
4,4(18 оценок)
Открыть все ответы
Ответ:
jasmine9
jasmine9
22.05.2020
Необходимо выбрать такие выражения, которые в результате вычисления дают нечётное число. Для этого применяем правила:
1) присложении двух нечётных чисел получаем чётное письмо
2)при сложении двух чётных чисел получаем чётное число
3) при умножении на чётное число получаем чётное число.
4) при вычитании из нечётного числа нечётного получаем чётное
5)при сложении чётного и нечётного числа получаем нечётное число, которое при делении на 2 даст остаток 1 ,(то, что нужно!).
6) При вычитании из чётного числа нечётного (или из нечётного вычитаем чётное) получаем нечётное  (то, что нужно!). 
7) При умножении нечётного числа на нечётное получаем нечётное (то, что надо!)
Тогда из всех выражений надо выписать
2573+48686 (одно число нечётное, другое чётное)
6549-3582 
357*985
4,4(96 оценок)
Ответ:
tatyanapalihova
tatyanapalihova
22.05.2020
2573+48686=51259:2=25629,50;                                                                         6549-3582=2967:2=1483,50;                                                 1237•468=578916:2=289458

1735+6319=8054:2=4027                                                                                    4327-1633=2964:2=1347                                                                                  357•985=351645:2=175822,50

89232+436=89668:2=44834                                                                               1968-246=1722:2=861                                                                                        342•518=177156:2=88578
4,8(61 оценок)
Это интересно:
Новые ответы от MOGZ: Математика
logo
Вход Регистрация
Что ты хочешь узнать?
Спроси Mozg
Открыть лучший ответ