М
Молодежь
К
Компьютеры-и-электроника
Д
Дом-и-сад
С
Стиль-и-уход-за-собой
П
Праздники-и-традиции
Т
Транспорт
П
Путешествия
С
Семейная-жизнь
Ф
Философия-и-религия
Б
Без категории
М
Мир-работы
Х
Хобби-и-рукоделие
И
Искусство-и-развлечения
В
Взаимоотношения
З
Здоровье
К
Кулинария-и-гостеприимство
Ф
Финансы-и-бизнес
П
Питомцы-и-животные
О
Образование
О
Образование-и-коммуникации
Нм6шиш
Нм6шиш
26.01.2021 22:46 •  Математика

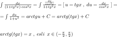
Добрый день! решить интеграл dx/(1+tg^2(x))*cos^2(x)

👇
Ответ:

\int \frac{dx}{(1+tg^2x)\cdot cos^2x}=\int \frac{\frac{dx}{cos^2x}}{1+tg^2x}=[\, u=tgx\; ,\; du=\frac{dx}{cos^2x}\; ]=\\\\=\int \frac{du}{1+u^2}=arctgu+C=arctg(tgx)+C\\\\\\arctg(tgx)=x\; ,\; esli\; \; x\in (-\frac{\pi}{2},\frac{\pi }{2})

4,5(58 оценок)
Открыть все ответы
Ответ:
katrinvar
katrinvar
26.01.2021
Экосистема (экологическая система) - система совместно обитающих живых организмов и условий их существования, связанных потоком энергии и круговоротом вещества. Экологические системы разных уровней представляют собой основные функциональные единицы биосферы. Эти надорганизменные объединения включаю организмы и неживое (косное) окружение, находящиеся во взаимодействии, без которого невозможно поддержание жизни на нашей планете. Будучи энергетически и структурно открытыми системами, они находятся в статистическом, подвижном равновесии - гомеостаз(ис)е (от греч. homoios - подобный, statis - стояние) благодаря особой структурно-функциональной организации всех своих компонентов. При этом различают структурно-физическую организацию - пространственное размещение компонентов, и временную организацию - динамику деятельности отдельных частей. Очень важный функциональный аспект организации, или принципы взаимодействия компонентов. В целом организация проявляется в размещении, группировке и взаимосвязях масс и косных тел, что позволяет экосистеме оптимально осуществлять свою генеральную функцию - материально- энергетический обмен между составными частями экосистемы, а также взаимодействие с другими экосистемами. В зависимости от природных и климатических условий можно выделить три группы и ряд природных экосистем. В основе квалификации для наземных экосистем лежит тип естественной (исходной) и растительности, для водных экосистем - гидрологические и физические особенности. Наземные экосистемы: 1. Тундра: арктическая и альпийская; 2. Бореальные хвойные леса; 3. Листопадный лес умеренной зоны; 4. Степь умеренной зоны; 5. Тропические злаковники и саванна; 6. Чапараль (районы с дождливой зимой и засушливым летом); 7. Пустыня: травянистая и кустарниковая; 8. Полувечнозеленый тропический лес (районы с выраженным влажным и сухим сезонами); 9. Вечнозеленый тропический дождевой лес. Пресноводные экосистемы: 1. Лентические (стоячие воды): озера, пруды, водохранилища и др.; 2. Лотические (текучие воды): реки, ручьи, родники и др.; 3. Заболоченные угодья: болота, болотистые леса, марши (приморские луга). Морские экосистемы: 1. Открытый океан (пелагическая экосистема); 2. Воды континентального шельфа (прибрежные воды); 3. Районы апвеллинга (плодородные районы с продуктивным рыболовством); 4. Эстуарии (прибрежные бухты, проливы, устья рек, лиманы, соленые марши и др.); 5. Глубоководные рифтовые зоны. Помимо основных типов природных экосистем (биомов)различают переходные типы - экотоны. Например, лесотундра, смешанные леса умеренной зоны, лесостепь, полупустыни и др.
4,7(45 оценок)
Ответ:
витя10
витя10
26.01.2021
Экосистема (экологическая система) - система совместно обитающих живых организмов и условий их существования, связанных потоком энергии и круговоротом вещества. Экологические системы разных уровней представляют собой основные функциональные единицы биосферы. Эти надорганизменные объединения включаю организмы и неживое (косное) окружение, находящиеся во взаимодействии, без которого невозможно поддержание жизни на нашей планете. Будучи энергетически и структурно открытыми системами, они находятся в статистическом, подвижном равновесии - гомеостаз(ис)е (от греч. homoios - подобный, statis - стояние) благодаря особой структурно-функциональной организации всех своих компонентов. При этом различают структурно-физическую организацию - пространственное размещение компонентов, и временную организацию - динамику деятельности отдельных частей. Очень важный функциональный аспект организации, или принципы взаимодействия компонентов. В целом организация проявляется в размещении, группировке и взаимосвязях масс и косных тел, что позволяет экосистеме оптимально осуществлять свою генеральную функцию - материально- энергетический обмен между составными частями экосистемы, а также взаимодействие с другими экосистемами. В зависимости от природных и климатических условий можно выделить три группы и ряд природных экосистем. В основе квалификации для наземных экосистем лежит тип естественной (исходной) и растительности, для водных экосистем - гидрологические и физические особенности. Наземные экосистемы: 1. Тундра: арктическая и альпийская; 2. Бореальные хвойные леса; 3. Листопадный лес умеренной зоны; 4. Степь умеренной зоны; 5. Тропические злаковники и саванна; 6. Чапараль (районы с дождливой зимой и засушливым летом); 7. Пустыня: травянистая и кустарниковая; 8. Полувечнозеленый тропический лес (районы с выраженным влажным и сухим сезонами); 9. Вечнозеленый тропический дождевой лес. Пресноводные экосистемы: 1. Лентические (стоячие воды): озера, пруды, водохранилища и др.; 2. Лотические (текучие воды): реки, ручьи, родники и др.; 3. Заболоченные угодья: болота, болотистые леса, марши (приморские луга). Морские экосистемы: 1. Открытый океан (пелагическая экосистема); 2. Воды континентального шельфа (прибрежные воды); 3. Районы апвеллинга (плодородные районы с продуктивным рыболовством); 4. Эстуарии (прибрежные бухты, проливы, устья рек, лиманы, соленые марши и др.); 5. Глубоководные рифтовые зоны. Помимо основных типов природных экосистем (биомов)различают переходные типы - экотоны. Например, лесотундра, смешанные леса умеренной зоны, лесостепь, полупустыни и др.
4,6(35 оценок)
Это интересно:
Новые ответы от MOGZ: Математика
Полный доступ к MOGZ
Живи умнее Безлимитный доступ к MOGZ Оформи подписку
logo
Вход Регистрация
Что ты хочешь узнать?
Спроси Mozg
Открыть лучший ответ