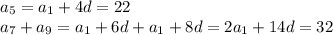
Из условия:
. По формуле n-го члена арифметической прогрессии:
имеем, что

Решим систему уравнений:

Найдем теперь сумму первых 23 членов этой прогрессии:

ответ: 184.
Сократимая дробь, определение и примеры.
Определение:
Сократимая дробь – это дробь у которой числитель и знаменатель имеют общий положительный делитель не равный нулю и единице.
Например:
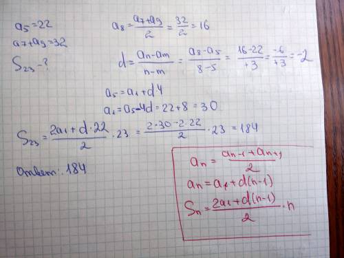
Докажите, что дробь 2035 является сократимой.
Распишем числитель и знаменатель на простые множители, найдем их наибольший общий делитель (НОД).
20=2⋅2⋅5
35=5⋅7
Так как у числителя и знаменателя повторяется множитель 5, это число и будет их наибольшим общим делителем.
НОД(20, 35)=5
Сократим дробь на НОД.
2035=4×57×5=47
Из сократимой дроби 2035 получили несократимую дробь 47.
Решение задания приложено