М
Молодежь
К
Компьютеры-и-электроника
Д
Дом-и-сад
С
Стиль-и-уход-за-собой
П
Праздники-и-традиции
Т
Транспорт
П
Путешествия
С
Семейная-жизнь
Ф
Философия-и-религия
Б
Без категории
М
Мир-работы
Х
Хобби-и-рукоделие
И
Искусство-и-развлечения
В
Взаимоотношения
З
Здоровье
К
Кулинария-и-гостеприимство
Ф
Финансы-и-бизнес
П
Питомцы-и-животные
О
Образование
О
Образование-и-коммуникации
dendenisenko2
dendenisenko2
08.07.2020 17:27 •  Математика

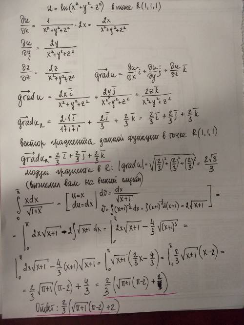
1)найти градиент поля u=ln(x^2+y^2+z^2) в точке r(1,1,1) 2)вычислить интеграл ∫сверху пи снизу 0 ,xdx/√1+x завтра экзамен нужна а варик на экз пробил

👇
Ответ:
iodin
iodin
08.07.2020

Ловите! Лучше, конечно, уточнять вектор или модуль градиента. Я посчитал вам оба. Второе задание классическое интегрирование по частям. Удачи вам на экзамене!


1)найти градиент поля u=ln(x^2+y^2+z^2) в точке r(1,1,1) 2)вычислить интеграл ∫сверху пи снизу 0 ,xd
4,5(5 оценок)
Открыть все ответы
Ответ:
Владэлина
Владэлина
08.07.2020

а) 0; 2,5

б) 0

в) -0,7; 0,7

г) -10; 10

Пошаговое объяснение:

а) 2x² = 5x

2x² - 5x = 0

x(2x - 5) = 0 <=> (пишем совокупностью)

[x = 0;                 [x = 0;           [x = 0;

[2x - 5 = 0  <=>  [2x = 5  <=>  [x = 2,5

ответ: 0; 2,5.

б) 0,3x² - x² = 0

x²(0,3 - 1) = 0

x² = 0

x = 0

ответ: 0

в) 0,49 - x² = 0

0,7² - x² = 0

(0,7 - x)(0,7 + x) = 0

x = -0,7 или х = 0,7

ответ: -0,7; 0,7.

г) 0,25x² - 25 = 0

(0,5x)² - 5² = 0

(0,5x - 5)(0,5x + 5) = 0 <=> (пишем совокупностью)

[0,5x = 5;          [x = 10;

[0,5x = -5  <=>  [x = -10

ответ: -10; 10.

4,5(7 оценок)
Ответ:
tolokvlad
tolokvlad
08.07.2020
Бухгалтерия — очень современное занятие. И поэтому им занимаются образованные и успешные люди. Они эрудированы, имеют широкий круг знаний: в правоведении, экономике, менеджменте, работе с компьютером. Бухгалтеры в успешных компаниях должны знать и иностранные языки тоже.
Я не понимаю, как может труд считаться кем-то скучным, если он требует сосредоточенности и применения умственных усилий! Думать — никогда не скучно. Бухгалтерия развивает математические человека. Бухгалтеры могут быстро и точно считать большие числа. Обмануть человека этой профессии у прилавка магазина просто не получится.
4,5(41 оценок)
Это интересно:
Новые ответы от MOGZ: Математика
logo
Вход Регистрация
Что ты хочешь узнать?
Спроси Mozg
Открыть лучший ответ