М
Молодежь
К
Компьютеры-и-электроника
Д
Дом-и-сад
С
Стиль-и-уход-за-собой
П
Праздники-и-традиции
Т
Транспорт
П
Путешествия
С
Семейная-жизнь
Ф
Философия-и-религия
Б
Без категории
М
Мир-работы
Х
Хобби-и-рукоделие
И
Искусство-и-развлечения
В
Взаимоотношения
З
Здоровье
К
Кулинария-и-гостеприимство
Ф
Финансы-и-бизнес
П
Питомцы-и-животные
О
Образование
О
Образование-и-коммуникации
Настюшкаvovk
Настюшкаvovk
14.11.2022 08:38 •  Математика

Выясните, параллельны ли данные прямые: 1)2x+3y-7=0 и 4x+6y+9=0 2)8x-4y+1=0 и 6x-3y+2=0

👇
Ответ:
Dania2432
Dania2432
14.11.2022
Для прямых
a_1x + b_1y + c_1 = 0 \: \: u \: \: a_2x + b_2y + c_2 = 0
Условие параллельности:

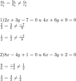
\frac{a _1 }{a _2} = \frac{b _1 }{b _2} \neq \frac{c _1 }{c_2} \\ \\ \\ 1)2x+3y-7=0 \ u \ 4x+6y+9=0 \\ \frac{2}{4}=\frac{3}{6}\neq \frac{-7}{9}\\ \\\frac{1}{2}=\frac{1}{2}\neq \frac{-7}{9} \\ \\ \\ 2)8x-4y+1=0\ u \ 6x-3y+2=0 \\ \\\frac{8}{6}=\frac{-4}{-3}\neq \frac{1}{2}\\ \\ \frac{4}{3}=\frac{4}{3}\neq \frac{1}{2}

И в первом и во втором случае прямые параллельны
4,5(87 оценок)
Ответ:
666Luc666
666Luc666
14.11.2022

Решение внизу на фото


Выясните, параллельны ли данные прямые: 1)2x+3y-7=0 и 4x+6y+9=0 2)8x-4y+1=0 и 6x-3y+2=0
4,6(69 оценок)
Открыть все ответы
Ответ:
ніка37654
ніка37654
14.11.2022
Пусть x км  составляет весь маршрут
0,25x  км - 25% всего маршрута
(0,25x+15) км - проехал за I день
x-(0,25x+15)=x-0,25x-15=0,75x-15  (км) - остаток
(0,75x-15)*0,2=0,15x-3 (км) - 20% остатка
0,15x-3+48=0,15x+45 (км) - проехал за II день
x-(0,25x+15+0,15x+45)=x-0,4x-60=0,6x-60 (км) - остаток пути после двух дней
(0,6x-60):2=0,3x-30 (км) - половина оставшегося пути
0,3x-30+20=0,3x-10 (км) - проехал за III день
220 км -  IV день
Составим уравнение:
(0,25x+15)+(0,15x+45)+(0,3x-10)+220=x
0,7x+270=x
x-0,7x=270
0,3x=270
x=270:0,3
x=900 (км) - весь маршрут

ответ: 900 км 
4,4(84 оценок)
Ответ:
KatiG
KatiG
14.11.2022

1 вариант

События совместные,поэтому используем формулу P(A+B) = P(A) + P(B) - P(A*B)

P(A) = 0,5*0,7*0,6=0,21 - вероятность,что абитуриент поступит на первую специальность

P(B) = 0,5*0,7*0,3=0,105 - вероятность,что абитуриент поступит на вторую специальность

P(A*B)=0,5*0,7*0,6*0,3=0,063

P(A+B)=0,21+0,105-0,063=0,252

2 вариант

Вероятность того,что абитуриент не сдаст физику: Р(А)= 1-0,6 =0,4

Вероятность того,что абитуриент не сдаст химию: Р(В)= 1-0,3 =0,7

Вероятность что не сдаст физику,или химию,или оба предмета: Р(С) = 0,4*0,7=0,28

Вероятность что сдаст физику,или химию,или оба предмета: Р(С1) = 1-0,28=0,72

Вероятность,что поступит на одну из специальностей: P(D) = 0,5*0,7*0,72=0,252

ответ: 0,252

4,6(77 оценок)
Это интересно:
Новые ответы от MOGZ: Математика
logo
Вход Регистрация
Что ты хочешь узнать?
Спроси Mozg
Открыть лучший ответ