М
Молодежь
К
Компьютеры-и-электроника
Д
Дом-и-сад
С
Стиль-и-уход-за-собой
П
Праздники-и-традиции
Т
Транспорт
П
Путешествия
С
Семейная-жизнь
Ф
Философия-и-религия
Б
Без категории
М
Мир-работы
Х
Хобби-и-рукоделие
И
Искусство-и-развлечения
В
Взаимоотношения
З
Здоровье
К
Кулинария-и-гостеприимство
Ф
Финансы-и-бизнес
П
Питомцы-и-животные
О
Образование
О
Образование-и-коммуникации
ArtemDigue
ArtemDigue
24.03.2020 18:06 •  Математика

Решить рример развёрнуто чтоб понятго было270÷9×8 и(270÷9)×8 и 350÷5×2 и350÷(5×2)

👇
Ответ:
mrku
mrku
24.03.2020
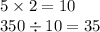
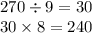
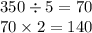
Если это все разные примеры, то
270 \div 9 = 30 \\ 30 \times 8 = 240
второй точно так же решается
350 \div 5 = 70 \\ 70 \times 2 = 140
5 \times 2 = 10 \\ 350 \div 10 = 35
4,4(91 оценок)
Открыть все ответы
Ответ:
kamilla169
kamilla169
24.03.2020

3-тапсырма. Үндестік заңын ескере отырып, қосымшаларды дұрыс жалғап, үшінші бағанға жаз.

№ Түбір Қосымша Туынды сөз

1 егін шы

2 ғарыш гер

3 сату ші

4 дәрі ке3-тапсырма. Үндестік заңын ескере отырып, қосымшаларды дұрыс жалғап, үшінші бағанға жаз.

№ Түбір Қосымша Туынды сөз

1 егін шы

2 ғарыш гер

3 сату ші

4 дәрі ке3-тапсырма. Үндестік заңын ескере отырып, қосымшаларды дұрыс жалғап, үшінші бағанға жаз.

№ Түбір Қосымша Туынды сөз

1 егін шы

2 ғарыш гер

3 сату ші

4 дәрі ке3-тапсырма. Үндестік заңын ескере отырып, қосымшаларды дұрыс жалғап, үшінші бағанға жаз.

№ Түбір Қосымша Туынды сөз

1 егін шы

2 ғарыш гер

3 сату ші

4 дәрі ке3-тапсырма. Үндестік заңын ескере отырып, қосымшаларды дұрыс жалғап, үшінші бағанға жаз.

№ Түбір Қосымша Туынды сөз

1 егін шы

2 ғарыш гер

3 сату ші

4 дәрі ке3-тапсырма. Үндестік заңын ескере отырып, қосымшаларды дұрыс жалғап, үшінші бағанға жаз.

№ Түбір Қосымша Туынды сөз

1 егін шы

2 ғарыш гер

3 сату ші

4 дәрі ке3-тапсырма. Үндестік заңын ескере отырып, қосымшаларды дұрыс жалғап, үшінші бағанға жаз.

№ Түбір Қосымша Туынды сөз

1 егін шы

2 ғарыш гер

3 сату ші

4 дәрі ке3-тапсырма. Үндестік заңын ескере отырып, қосымшаларды дұрыс жалғап, үшінші бағанға жаз.

№ Түбір Қосымша Туынды сөз

1 егін шы

2 ғарыш гер

3 сату ші

4 дәрі ке3-тапсырма. Үндестік заңын ескере отырып, қосымшаларды дұрыс жалғап, үшінші бағанға жаз.

№ Түбір Қосымша Туынды сөз

1 егін шы

2 ғарыш гер

3 сату ші

4 дәрі ке3-тапсырма. Үндестік заңын ескере отырып, қосымшаларды дұрыс жалғап, үшінші бағанға жаз.

№ Түбір Қосымша Туынды сөз

1 егін шы

2 ғарыш гер

3 сату ші

4 дәрі ке

Пошаговое объяснение:

4,8(11 оценок)
Ответ:
Кимиджими3
Кимиджими3
24.03.2020

1)Ту, елтаңба,гимн,рәміздер

2,3)Қазақстан Республикасының Мемлекеттік туы – ортасында шұғылалы күн, оның астында қалықтап ұшқан қыран бейнеленген тік бұрышты көгілдір түсті мата. Тудың сабының тұсында тік жолақ түрінде ұлттық өрнек нақышталған. Күн, оның шұғыласы, қыран және ұлттық өрнек бейнесі алтын түстес. Тудың ені мен ұзындығының арақатынасы – 1:2

4)Геральдика қағидаттарына сәйкес, күн байлық пен молшылықты, өмірді және күш-қуатты бейнелейді. Сондықтан еліміздің туындағы күн шапағы дәулеттілік пен бақуаттылықтың символы – алтын масақ пішінінде берілген.

5)не знаю

6)Қазақ халқы “шаңырақ” деген сөзге көптеген ұғымдарды сыйғызады. Мысалы “Пәленшекемнiң ұрпағы пәлен шаңыраққа жетiптi” деп, бiр ауылдың, не бiр рудың есiмiн жобалап отыратын болған. Шаңырақ киiз үйдiң күмбездiк, жартышарлық ұлттық, көркемдік қасиетiн сақтап тұрады. Үйге жарық түсiрiп, үйге жағылған от түтiнiн ауаға шығуын қамтамасыз етедi. Жалпы “Қара шаңырақ” атауы сол киiз үйге деген ежелгiлiк, ескiлiк көз қарас тудыруымен қатар, қасиеттiлiк күш-қуат та бере алатын сөз. Ол сөз сол үй иелерiнiң тамырларының терең, ру басы бабалар тарихымен астасып жатқандығының жҽне олардың ата дәстүрiн жалғастырып келе жатқан адамдар екенiнiң белгiсi, дәлелi секiлдi болып тұрады. “Қара шаңырық” атауы бар үй сол рудың және сол румен қарым-қатынастағы басқалардың да құрмет тұтары, тағзым етерi болып саналады. Қара шаңырақ иесi көп жағдайда аты аталып, марапатталып жатады. Шетте жүрген, қонысы басқа сол қара шаңырақ ұрпақтары мен жек-жаттары қара шаңыраққа сәлем бере келiп, арнайы сыбағалар әкеледi. Жасы үлкендерi еншiлерiн алып бөлек үй болып кеткенде әкенiң кенжесi (сүткенжесi) әке қолында қарашаңырақ иесi боп қалады. Ата-ананы күтiп-бағу кенже баланың мiндетi. Бұл үй еншi алып кеткендерге үлкен үй боп есетеледi.

7)оң қолымызды жүрегіміздің тұсына қойып, жанды дауыста ырғақпен келтіріп айту керек!

4,7(94 оценок)
Это интересно:
Новые ответы от MOGZ: Математика
logo
Вход Регистрация
Что ты хочешь узнать?
Спроси Mozg
Открыть лучший ответ