М
Молодежь
К
Компьютеры-и-электроника
Д
Дом-и-сад
С
Стиль-и-уход-за-собой
П
Праздники-и-традиции
Т
Транспорт
П
Путешествия
С
Семейная-жизнь
Ф
Философия-и-религия
Б
Без категории
М
Мир-работы
Х
Хобби-и-рукоделие
И
Искусство-и-развлечения
В
Взаимоотношения
З
Здоровье
К
Кулинария-и-гостеприимство
Ф
Финансы-и-бизнес
П
Питомцы-и-животные
О
Образование
О
Образование-и-коммуникации
tofik4
tofik4
03.12.2022 01:00 •  Математика

X^2-(3-2i)x+5-5i=0 напишите кому не лень как решать эти комплексные числа, если можете, киньте ссылки на ресурсы по обучению и матану в целом,

👇
Ответ:
ДашаЕ1
ДашаЕ1
03.12.2022

Просто воспринимай комплексные числа так же, как все остальные.

a = 1 \\
b = 2i - 3 \\
c = 5 - 5i \\
D = b^2 - 4 a c \\
D = (2i-3)^2 - 20 + 20i \\ D = ((-4) - (2 \times (2i) \times 3) + 9) - 20 + 20i \\
D = -15 + 8i \\
\sqrt{D} = A + Bi \\
(A + Bi) ^2 = -15 + 8i \\
A^2 + 2ABi - B^2 = -15 + 8i\\
(A^2 - B^2) + 2ABi = -15+8i\\

A и B — действительные числа.

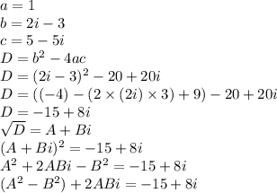
A^2 - B^2 = -15 \\
2AB = 8 \implies AB = 4 \implies A^2 B^2 = 16\\
A^2 = B^2 - 15 \\
B^4 - 15 B^2 = 16 \\
B = \pm 4 \\
B^2 = 16 \\
A = \pm 1 \\
AB = 4 \implies (B=-4 \land A=-1) \lor (B=4 \land A=1) \\

В формуле дискриминанта перед sqrt(D) стоит плюс-минус, поэтому нам совсем не важно, какой из вариантов выбрать, так как один является -1*(другой).

x = \frac{3-2i \pm (1 - 4i)}{2} \\
\\
x = 2-3i \\
x = 1 + i

4,5(39 оценок)
Открыть все ответы
Ответ:
yyydomayyy
yyydomayyy
03.12.2022
Что такое сила? Что же это? Это просто энергия, воздействующая на материальные тела, и она всем нам нужна! Без неё, нету сил ни у кого.
Сила нужна человеку, чтобы жить. Чтобы выжить, нужно иметь силу для этого, а если силы нету, так человек будет просто слаб.
Каждый человек имеет это желание, каждый хочет жить.
Когда человек живет, он всегда мечтает, имеет желания какие-то, и чтобы добиться всех своих целей, нужно просто этого хотеть, нужно просто иметь для этого сил. Нужно всегда иметь много сил.
Нужно просто жить.
4,5(99 оценок)
Ответ:
Ponny1
Ponny1
03.12.2022
Среднее арифметическое - это сумма всех чисел, делённая на их количество.
Пусть х - четвёртое число, тогда
(х - 0,2) - первое число
3х - пятое число
1,5 * (х - 0,2) = (1,5х - 0,3) - второе число
1,5х - 0,3 + 7,2 = (1,5х + 6,9) - третье число 
Уравнение: х + х - 0,2 + 3х + 1,5х - 0,3 + 1,5х + 6,9 = 20,864 * 5
                    8х + 6,4 = 104,32
                    8х = 104,32 - 6,4
                    8х = 97,92
                    х = 97,92 : 8
                    х = 12,24 - четвёртое число
                    12,24 - 0,2 = 12,04 - первое число
                    3 * 12,24 = 36,72 - пятое число
                    1,5 * 12,24 - 0,3 = 18,06 - второе число
                    1,5 * 12,24 + 6,9 = 25,26 - третье число
ответ: числа 12,04; 18,06; 25,26; 12,24 и 36,72 соответственно.

Проверка: (12,04 + 18,06 + 25,26 + 12,24 + 36,72) : 5 = 20,864
                   104,32 : 5 = 20,864
                    20,864 = 20,864
4,5(54 оценок)
Это интересно:
Новые ответы от MOGZ: Математика
logo
Вход Регистрация
Что ты хочешь узнать?
Спроси Mozg
Открыть лучший ответ