М
Молодежь
К
Компьютеры-и-электроника
Д
Дом-и-сад
С
Стиль-и-уход-за-собой
П
Праздники-и-традиции
Т
Транспорт
П
Путешествия
С
Семейная-жизнь
Ф
Философия-и-религия
Б
Без категории
М
Мир-работы
Х
Хобби-и-рукоделие
И
Искусство-и-развлечения
В
Взаимоотношения
З
Здоровье
К
Кулинария-и-гостеприимство
Ф
Финансы-и-бизнес
П
Питомцы-и-животные
О
Образование
О
Образование-и-коммуникации
zlatashmyrova
zlatashmyrova
03.12.2021 22:17 •  Математика

Кзавтрашнему дню..
исследовать и построить график функции(график можно не рисовать)
вроде как 9 пунктов
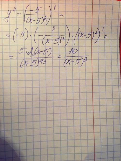
у=х/х-5

👇
Ответ:
lololokgjh
lololokgjh
03.12.2021

Может два Ваших пункта входит в мой один)))) Разберетесь.

Не знаю, как еще подробней)

Пошаговое объяснение:


Кзавтрашнему дню.. исследовать и построить график функции(график можно не рисовать) вроде как 9 пунк
Кзавтрашнему дню.. исследовать и построить график функции(график можно не рисовать) вроде как 9 пунк
4,4(99 оценок)
Открыть все ответы
Ответ:
Метр — рисунок равномерного чередования сильных и слабых долей во времен
Ритм- чередование музыкальных событий, происходящее в определённой последовательности.
и мазурка и полонез- танцы в трех дольном размере, оба появились в Польше. Разница в характере. Мазурка- подвижный и легкий танец, а полонез- торжественный, танец-шествие, исполняется в умеренном темпе. Танец Сильно связан с ритмом, чтобы танцующие не сбились с такта, вместе выполняли каки- либо движения. Для этого нужен четкий пульс, сильная доля.
Метр и ритм до полнят друг друга.
4,5(44 оценок)
Ответ:
ALXEN03
ALXEN03
03.12.2021
1) 12•a-3•b=3•(4•a-b)=3•(4•(-3,4)-5,6)=3•(-13,6-5,6)=-3•(13,6+5,6)=-3•19,2=-57,6

2) 1-0,6•x≠1+0,6•x

-0,6•x≠0,6•x

0≠1,2•x

0≠x

Достаточно сравнить x с нулем.

Поскольку x=5>0, то 0<x

Поэтому

1-0,6•x<1+0,6•x

3 а) 12•a-10•b-10•a+6•b=(12-10)•a-(10-6)•b=2•a-4•b=
=2•(a-2•b)=2•(-3,4-2•5,6)=2•(-3,4-11,2)=2•(-14,6)=-29,2

3 б) 4•(3•x-2)+7=4•3•x-4•2+7=12•x-8+7=12•x-1=12•5-1=60-1=59

3 в) 8•x-(2•x+5)+(x-1)=8•x-2•x-5+x-1=7•x-6=7•5-6=35-6=29

4) -5•(0,6•c-1,2)-1,5•c-3=-5•0,6•(c-2)-1,5•c-3=-3•(c-2)-1,5•c-3=
=-3•c-3•(-2)-1,5•c-3=-(3+1,5)•c+6-3=-4,5•c+3=3•(1-1,5•c)=3•[1-1,5•(-4,9)]=
=3•(1+7,35)=3•8,35=25,05

5) 7•x-(5•x-(3•x+y))=7•x-(5•x-3•x-y)=7•x-(2•x-y)=7•x-2•x+y=5•x+y
4,6(18 оценок)
Это интересно:
Новые ответы от MOGZ: Математика
logo
Вход Регистрация
Что ты хочешь узнать?
Спроси Mozg
Открыть лучший ответ