М
Молодежь
К
Компьютеры-и-электроника
Д
Дом-и-сад
С
Стиль-и-уход-за-собой
П
Праздники-и-традиции
Т
Транспорт
П
Путешествия
С
Семейная-жизнь
Ф
Философия-и-религия
Б
Без категории
М
Мир-работы
Х
Хобби-и-рукоделие
И
Искусство-и-развлечения
В
Взаимоотношения
З
Здоровье
К
Кулинария-и-гостеприимство
Ф
Финансы-и-бизнес
П
Питомцы-и-животные
О
Образование
О
Образование-и-коммуникации
tvova258
tvova258
05.01.2023 19:51 •  Математика

(3a+2a)•1-6a9a² 1-3a. 3a+1. ba²+10a

👇
Ответ:
сельджан2
сельджан2
05.01.2023
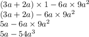
(3a + 2a) \times 1 - 6a \times 9a {}^{2} \\ (3a + 2a) - 6a \times 9a {}^{2} \\ 5a - 6a \times9 a {}^{2} \\ 5a - 54a {}^{3}
ответ не какой
4,8(57 оценок)
Открыть все ответы
Ответ:
PrinssesBublGum1337
PrinssesBublGum1337
05.01.2023

19/30 или 0.63

Пошаговое объяснение:

1. Вычисляем сумму. (-5+8)+(-0,36+(-0,64))-1 2/3

Получаем : 3+(-0,36+(-0,64))-1 2/3

2. Когда перед выражением в скобках стоит знак "+", тогда оно остается прежним. 3+(-0,36+(-0,64))-1 2/3

Получаем : 3+(-0,36-0,34)-1 2/3

3. Представляем смешанную дробь  виде неправильной дроби. 3+(-0,36-0,34)-1 2/3

Получаем : 3+(-0,36-0,34)- 5/3

4.Вычисляем разность 3+(-0,36-0,34)- 5/3

Получаем : 3+(-0,7)- 5/3

5. Раскрываем скобки (не забываем, что когда перед выражением в скобках стоит знак "+", тогда оно остается прежним). 3+(-0,7)- 5/3

Получаем : 3-0,7- 5/3

6. Вычисляем разность 3-0,7- 5/3

Получаем : 19/30 или 0.63

4,7(46 оценок)
Ответ:

19/30 или 0.63

Пошаговое объяснение:

1. Вычисляем сумму. (-5+8)+(-0,36+(-0,64))-1 2/3

Получаем : 3+(-0,36+(-0,64))-1 2/3

2. Когда перед выражением в скобках стоит знак "+", тогда оно остается прежним. 3+(-0,36+(-0,64))-1 2/3

Получаем : 3+(-0,36-0,34)-1 2/3

3. Представляем смешанную дробь  виде неправильной дроби. 3+(-0,36-0,34)-1 2/3

Получаем : 3+(-0,36-0,34)- 5/3

4.Вычисляем разность 3+(-0,36-0,34)- 5/3

Получаем : 3+(-0,7)- 5/3

5. Раскрываем скобки (не забываем, что когда перед выражением в скобках стоит знак "+", тогда оно остается прежним). 3+(-0,7)- 5/3

Получаем : 3-0,7- 5/3

6. Вычисляем разность 3-0,7- 5/3

Получаем : 19/30 или 0.63

4,7(60 оценок)
Это интересно:
Новые ответы от MOGZ: Математика
logo
Вход Регистрация
Что ты хочешь узнать?
Спроси Mozg
Открыть лучший ответ