М
Молодежь
К
Компьютеры-и-электроника
Д
Дом-и-сад
С
Стиль-и-уход-за-собой
П
Праздники-и-традиции
Т
Транспорт
П
Путешествия
С
Семейная-жизнь
Ф
Философия-и-религия
Б
Без категории
М
Мир-работы
Х
Хобби-и-рукоделие
И
Искусство-и-развлечения
В
Взаимоотношения
З
Здоровье
К
Кулинария-и-гостеприимство
Ф
Финансы-и-бизнес
П
Питомцы-и-животные
О
Образование
О
Образование-и-коммуникации
nikolajsagirov
nikolajsagirov
02.02.2021 06:08 •  Математика

Бригада из 6 человек выполняют работу за 24 часа.сколько нужно добавить человек в бригаду,чтобы выполнить ту же работу за 18 часов?

👇
Ответ:
яна7933
яна7933
02.02.2021

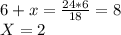
Время, затраченное на работу обратно пропорционально количеству человек, выполняющих данную работу.

Пусть Х - количество человек, которые необходимо добавить для выполнения работы за 18 часов.

тогда (6+Х) относится к 6-ти как 24 относится к 18

\frac{6+x}{6} = \frac{24}{18}

6+x= \frac{24*6}{18} = 8\\X = 2

4,8(60 оценок)
Открыть все ответы
Ответ:
morozhenka05
morozhenka05
02.02.2021
Пускай расстояние между пунктами А и В равно 1
 Путь = скорость * время или S = v * t
 v = S / t, 
тогда  v автобуса = 1 / 5, 
а v грузовика = 1 / 7.5 = 1 / (15/2) = 2 / 15

Так как выезжают они одновременно, то в пути, до встречи, будут ехать одинаковое количество времени t, тогда
Автобус проедет (1/5) * t - часть пути, которую проехал автобус
Грузовик проедет (2/15) * t - часть пути которую проедет грузовик, 
А вместе они проедут весь путь, так как встретятся по условию, тогда

t/5 + 2t/15 = 1

3t/15 + 2t/15 = 1

5t = 15

t = 3 часа

ответ: встретятся через 3 часа.
4,6(13 оценок)
Ответ:
duyquhuseynli11
duyquhuseynli11
02.02.2021
Пускай расстояние между пунктами А и В равно 1
 Путь = скорость * время или S = v * t
 v = S / t, 
тогда  v автобуса = 1 / 5, 
а v грузовика = 1 / 7.5 = 1 / (15/2) = 2 / 15

Так как выезжают они одновременно, то в пути, до встречи, будут ехать одинаковое количество времени t, тогда
Автобус проедет (1/5) * t - часть пути, которую проехал автобус
Грузовик проедет (2/15) * t - часть пути которую проедет грузовик, 
А вместе они проедут весь путь, так как встретятся по условию, тогда

t/5 + 2t/15 = 1

3t/15 + 2t/15 = 1

5t = 15

t = 3 часа

ответ: встретятся через 3 часа.
4,4(25 оценок)
Новые ответы от MOGZ: Математика
logo
Вход Регистрация
Что ты хочешь узнать?
Спроси Mozg
Открыть лучший ответ