М
Молодежь
К
Компьютеры-и-электроника
Д
Дом-и-сад
С
Стиль-и-уход-за-собой
П
Праздники-и-традиции
Т
Транспорт
П
Путешествия
С
Семейная-жизнь
Ф
Философия-и-религия
Б
Без категории
М
Мир-работы
Х
Хобби-и-рукоделие
И
Искусство-и-развлечения
В
Взаимоотношения
З
Здоровье
К
Кулинария-и-гостеприимство
Ф
Финансы-и-бизнес
П
Питомцы-и-животные
О
Образование
О
Образование-и-коммуникации
ttm105
ttm105
24.07.2020 13:03 •  Математика

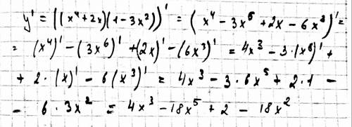
Найти производную y = (x^4+2x)(1-3x^2)

👇
Ответ:
Anion20
Anion20
24.07.2020
............ ............. ............. ............. .
Найти производную y = (x^4+2x)(1-3x^2)
4,4(52 оценок)
Открыть все ответы
Ответ:
masik01012015
masik01012015
24.07.2020

С = 2πR − длина окружности с радиусом R,

R = С/2 π

при длине окружности С,

C + 6,28 − длина окружности, после ее увеличения на 6,28 см,

R=( C + 6 ,28) /2 π

при длине окружности C + 6,28

(C+6, 28)/ 2π− С/ 2 π =( C+6, 28−С)/2 π = 3,14/π =

на 1 см увеличится радиус окружности при увеличении ее длины на 6,28 см.

ответ: увеличится на 1 см.

Как измениться длина окружности,если ее радиус увеличить в 5 раз

Увеличится в 5 раз:С = 2πR − длина окружности с радиусом R,

R = С/2π

при длине окружности С,

С * 5 = 5С − длина окружности, после ее увеличения в 5 раз,

R=5 С/ 2π

при длине окружности 5С

5 С/ 2 π: С/2 π = 5 С /2π ∗2π/С =5

− кратность увеличения радиуса окружности при увеличении её длины в 5 раз.  

ответ: увеличится в 5 раз.

Пошаговое объяснение:

4,7(88 оценок)
Ответ:
kirpol83p01doz
kirpol83p01doz
24.07.2020

1) 20х+8= 30х-30+15

20х-30х= -30+15-8

-10х= -23

х= 2,3

2) 14х-14= 14х-21+7

14х-14= 14х-14

х= любое число от минус бесконечности до плюс бесконечности

3)5,6-6+1,2х= 1,6х-0,4

1,6х-1,2 х = 0

0,4х= 0

х= 0

4)5х-60= 6х-60-х

5х-60= 5х-60

х любое число от минус бесконечности до плюс бесконечности

5) 2,4-0,9у=3,2-0,8у+5,6

-0,9у+0,8у= 3,2+5,6-2,4

-0,1у=6,4

у= 6,4:(-0,1)

у= -64

6)4х-4= 4х-16+12

4х-4= 4х-4

х любое число от минус бесконечности до плюс бесконечности

7)40-24х=12-24х+7

-24х+24х=12+7-40

0 не равен -21

значит уравнение не имеет решений

4,5(28 оценок)
Это интересно:
Новые ответы от MOGZ: Математика
logo
Вход Регистрация
Что ты хочешь узнать?
Спроси Mozg
Открыть лучший ответ