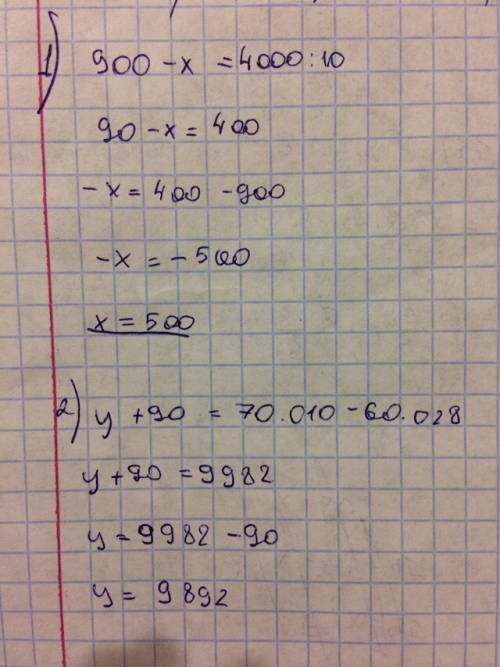
900-x=4000:10
900-x=400
x=900-400
x=500
900-500=400
400=400
y+90=70010-60028
y+90=9982
y=9982-90
y=9892
9892+90=9982
9982=9982
и
, x∈R
и 


и прямая y = 0 (ось Ох). 

и прямая
.


Пошаговое объяснение:
Задача 1
Найдем стоимость свитера со скидкой 50%
50%=50:100=0,5
350*0,5= 175 руб. стоимость свитера со скидкой
350+175= 525 руб. стоимость двух свитеров
ответ : 525 руб.
Задача 2
Общая площадь 162 га
распределено как 7:2
Всего частей
7+2=9 частей
162 : 9 = 18 га припадает на 1 часть , значит
7*18 =126 га земли занимают зерновые культуры
ответ : 126 га
Задача 3
Стоимость без скидки 90 руб. и это 100%
Скидка 10 % , значит стоимость чашки составит
100-10=90% первоначальной стоимости
90%=90:100=0,9
90*0,9 =81 руб. стоимость чашки со скидкой
10*81=810 руб. будут стоить 10 чашек
1000-810 = 190 руб сдачи получит покупатель
или
1000 - (90*10)*0,9= 1000-810=190 руб. сдачи
ответ : 190 руб.
Задача 4
Скидка 3 % , значит стоимость полотенец составит
100-3=97% от первоначальной стоимости
97%=0,97
200*0,97=194 руб. стоимость полотенец
500-194 = 306 руб. получит покупатель сдачи
ответ : 306 руб.
Задача 5
Группа из 8 человек получит скидку 5% , значит стоимость путевки будет 100-5=95% от первоначальной стоимости
95%=0,95
3500*0,95 =3325 руб. будет стоимость путевки для одного человека
Группа из 8 человек заплатит за путевки
3325 *8= 26600 руб.
ответ : 26600 руб.
Задача 6
Первоначальная стоимость платы за телефон 250 руб.
Увеличится на 4% , значит стоимость составит 100+4=104% от первоначальной стоимости
104 %=1,04
Ежемесячная плата за телефон будет
250 * 1,04 = 260 руб.
ответ: 260 руб.
Задача 7
12,5 % = 12, 5 : 100 = 0,125
Вот,надеюсь всё видно и понятно)