М
Молодежь
К
Компьютеры-и-электроника
Д
Дом-и-сад
С
Стиль-и-уход-за-собой
П
Праздники-и-традиции
Т
Транспорт
П
Путешествия
С
Семейная-жизнь
Ф
Философия-и-религия
Б
Без категории
М
Мир-работы
Х
Хобби-и-рукоделие
И
Искусство-и-развлечения
В
Взаимоотношения
З
Здоровье
К
Кулинария-и-гостеприимство
Ф
Финансы-и-бизнес
П
Питомцы-и-животные
О
Образование
О
Образование-и-коммуникации
NastyaZl
NastyaZl
14.03.2021 00:23 •  Математика

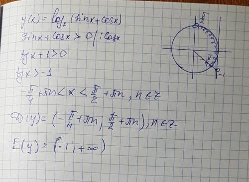
Найдите область определения и множество значений функции y(x)=log2(sinx+cosx)

👇
Ответ:
coffeepro80
coffeepro80
14.03.2021
Решение задания смотри на фотографии
Найдите область определения и множество значений функции y(x)=log2(sinx+cosx)
4,6(4 оценок)
Открыть все ответы
Ответ:
MiraQeen
MiraQeen
14.03.2021
Дано: ск. пол. пути --- 0,8 км/км
остановка 15 мин.
ув. ск.  --- на 100 м/мин
опоздание нет.
Найти: время пути
Решение.
0,8 км/час= 800 м/мин
    Обозначим расстояние через Х.
Х/800 мин намеченное время прохождения пути
(Х/2) : 800 = Х/1600 (мин) время первой половины пути
800 + 100 = 900 (м/мин) скорость на второй половине пути.
(Х/2) : 900 = Х/1800 (мин) время второй половины пути без стоянки
   Т.к. автобус уложился в намеченное время, и уменьшил время прохождения второй половины пути на величину простоя, составим и решим уравнение:
Х/800 = Х/1600 + Х/1800 +15
18Х - 9Х - 8Х = 15*9*1600
Х = 216 000 (м)
216000/800 = 270(мин) = 4,5 часа
ответ: 4,5 часа
4,4(70 оценок)
Ответ:
MaxXXL2003
MaxXXL2003
14.03.2021
Площадь меньшего квадрата: S = a² (кл.²)
Площадь большего квадрата: S₁ = a₁² = (a+x)² (кл.²), 
где х - разница в длине стороны большего и меньшего квадратов.

Так как S₁ = S+47, то:
                                     (a + x)² = a² + 47
                                     a² + 2ax + x² = a² + 47
                                     x(2a + x) = 47   

Так как 47 - простое число, то существует единственное разложение этого числа на множители:
                                     47 = 47*1
Следовательно, х = 1  и  2а = 46
                                            а = 23 (кл.)        а+1 = 24 (кл.)

Проверим:
                    24² - 23² = 47
                   576 - 529 = 47
                             47 = 47   

ответ: сторона исходного квадрата 23 клетки. 
4,8(40 оценок)
Новые ответы от MOGZ: Математика
logo
Вход Регистрация
Что ты хочешь узнать?
Спроси Mozg
Открыть лучший ответ