М
Молодежь
К
Компьютеры-и-электроника
Д
Дом-и-сад
С
Стиль-и-уход-за-собой
П
Праздники-и-традиции
Т
Транспорт
П
Путешествия
С
Семейная-жизнь
Ф
Философия-и-религия
Б
Без категории
М
Мир-работы
Х
Хобби-и-рукоделие
И
Искусство-и-развлечения
В
Взаимоотношения
З
Здоровье
К
Кулинария-и-гостеприимство
Ф
Финансы-и-бизнес
П
Питомцы-и-животные
О
Образование
О
Образование-и-коммуникации
7LittleKitten7
7LittleKitten7
28.07.2020 01:31 •  Математика

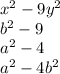
Решить (х+3у)(х-3у) (b+3)(b-3) (a+2)(a-2) (a+2b)(a-2b)

👇
Ответ:
x {}^{2} - 9y {}^{2} \\ b {}^{2} - 9 \\ a {}^{2} - 4 \\ a {}^{2} - 4b {}^{2}
4,6(60 оценок)
Открыть все ответы
Ответ:
Введем обозначения:
V1 = 50(км/ч)
t1 - время автомобилиста, в которое он двигался со скоростью V1
V2 = 65(км/ч)
t2 - время автомобилиста, в которое он двигался со скоростью V2
t - назначенное время.
S1 и S2 - пути, которые автомобилист проедет в первом и втором случае.
Т.к. проедет он одно и то же расстояние, то S1=S2.
Из условия следует, что t1 = t+2, а t2 = t-1
S1=S2
V1t1=V2t2
V1(t+2)=V2(t-1)
V1t+2V1 = V2t - V2
50t+2*50 = 65t - 65
t(50-65) = -65-100
t = 165/15 = 11(ч).
S1 = V1t1 = V1(t+2) = 50(11+2) = 650(км).
ответ: 650км.

С вами был lovelyserafima, удачи! Не забывайте отмечать лучшим и оценивать ответ, если он вам понравился) Будут еще вопросы - задавайте;)
4,8(93 оценок)
Ответ:
rishanaHD
rishanaHD
28.07.2020
Будем рассматривать то,что слева и справа от знака равенства как две функции.Назовем левую 1, а правую 2. Заметим,что они обе нечетные и обе проходят через точку (0,0).Так же заметим,что вблизи (0,0) 1 идет круче,чем 2.
Посмотрим сколько локальных максимумов имеет 1 на участке от (0;пи) через производную:
пи/3 *cos(пи/3 *sinx)*пи/3 *сosx=0, то есть x=пи/2, либо sinx=3/2-не может быть.
Поэтому на участке (0;пи) 1 точка пересечения графиков функций.
Последнее замечание,что на участке от (2пи;2,5пи) значения 2 больше значений 1,поэтому в силу цикличности графика 1 и симметричности 1 и 2 делаем вывод,что всего 3 решения.
Дальше разумным подбором находим 1 решение, а второе будет отличаться только знаком.
Итак, x=0;пи/6;-пи/6.
4,4(13 оценок)
Это интересно:
Новые ответы от MOGZ: Математика
logo
Вход Регистрация
Что ты хочешь узнать?
Спроси Mozg
Открыть лучший ответ