М
Молодежь
К
Компьютеры-и-электроника
Д
Дом-и-сад
С
Стиль-и-уход-за-собой
П
Праздники-и-традиции
Т
Транспорт
П
Путешествия
С
Семейная-жизнь
Ф
Философия-и-религия
Б
Без категории
М
Мир-работы
Х
Хобби-и-рукоделие
И
Искусство-и-развлечения
В
Взаимоотношения
З
Здоровье
К
Кулинария-и-гостеприимство
Ф
Финансы-и-бизнес
П
Питомцы-и-животные
О
Образование
О
Образование-и-коммуникации
Ffgfgdcbgdf
Ffgfgdcbgdf
30.09.2022 14:00 •  Математика

Решить уравнение y (во второй степени) -5y=0

👇
Ответ:
Zacloock
Zacloock
30.09.2022
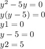
{y}^{2} - 5y = 0 \\ y(y - 5) = 0 \\ y1 = 0 \\ y - 5 = 0 \\ y2 = 5
4,8(35 оценок)
Открыть все ответы
Ответ:
Ищем область определения:D(y)∈Rищем 1 и 2 производные:

определяем критические точки:
x=0; y=1; (0;1)x=0,5; y=0,875 (0,5;0,875)x=-0,5; y=0,875 (-0,5;0,875)определяем максимум/минимум и возрастание/убывание:определяем знак производной на каждом интервале:1) на (-oo;-0,5]берем например (-1): - знак минус2) на [-0,5;0]берем например (-0,1): - знак плюс3) на [0;0,5]берем например 0,1: - знак минус4) на [0,5;+oo)берем например 1: - знак плюспроизводная в точке (-0,5;0,875) меняет знак с минуса на плюс, значит это минимум.производная в точке (0;1) меняет знак с плюса на минус, значит это максимуманалогично для точки (0,5;0,875) - это 2 минимумфункция убывает на (-oo;-0,5] и [0;0,5]и возрастает на [-0,5;0] и [0,5;+oo)так как область определения этой функции - любое действительное число, то данная функция не имеет асимтотпроверяем четность: - значит функция четнаяищем интервалы выпуклости/вогнутости:приравниваем 2 производную к 0:
определяем знаки:≈0,289≈-0,2891) на (-oo;-0,289]берем например (-1): - знак плюс2) на [-0,289;0,289]:берем например 0:12*0-1=-1 - знак минус3)на [0,289;+oo)берем например 1:12-1=11 - знак +значит функция выпукла на и вогнута на (-oo; и ;+oo)определяем пересечения с осями координат:
x- нет корней, значит данная функция не пересекается с осью oxx=0; y=1; (0;1)Подведем итоги:функция: область определения: D(y)∈Rфункция непрерывна1 производная: 2 производная: функция четнаяфункция не имеет асимптотнули: (0;1)экстремиумы: (0,5;0,875), (-0,5;0,875), (0;1)максимум: (0;1) минимум: (-0,5;0,875), (0,5;0,875)убывает: (-oo;-0,5] и [0;0,5]возрастает: [-0,5;0] и [0,5;+oo)выпукла: вогнута: (-oo; и ;+oo)
4,6(47 оценок)
Ответ:
татар13
татар13
30.09.2022
Ищем область определения:D(y)∈Rищем 1 и 2 производные:

определяем критические точки:
x=0; y=1; (0;1)x=0,5; y=0,875 (0,5;0,875)x=-0,5; y=0,875 (-0,5;0,875)определяем максимум/минимум и возрастание/убывание:определяем знак производной на каждом интервале:1) на (-oo;-0,5]берем например (-1): - знак минус2) на [-0,5;0]берем например (-0,1): - знак плюс3) на [0;0,5]берем например 0,1: - знак минус4) на [0,5;+oo)берем например 1: - знак плюспроизводная в точке (-0,5;0,875) меняет знак с минуса на плюс, значит это минимум.производная в точке (0;1) меняет знак с плюса на минус, значит это максимуманалогично для точки (0,5;0,875) - это 2 минимумфункция убывает на (-oo;-0,5] и [0;0,5]и возрастает на [-0,5;0] и [0,5;+oo)так как область определения этой функции - любое действительное число, то данная функция не имеет асимтотпроверяем четность: - значит функция четнаяищем интервалы выпуклости/вогнутости:приравниваем 2 производную к 0:
определяем знаки:≈0,289≈-0,2891) на (-oo;-0,289]берем например (-1): - знак плюс2) на [-0,289;0,289]:берем например 0:12*0-1=-1 - знак минус3)на [0,289;+oo)берем например 1:12-1=11 - знак +значит функция выпукла на и вогнута на (-oo; и ;+oo)определяем пересечения с осями координат:
x- нет корней, значит данная функция не пересекается с осью oxx=0; y=1; (0;1)Подведем итоги:функция: область определения: D(y)∈Rфункция непрерывна1 производная: 2 производная: функция четнаяфункция не имеет асимптотнули: (0;1)экстремиумы: (0,5;0,875), (-0,5;0,875), (0;1)максимум: (0;1) минимум: (-0,5;0,875), (0,5;0,875)убывает: (-oo;-0,5] и [0;0,5]возрастает: [-0,5;0] и [0,5;+oo)выпукла: вогнута: (-oo; и ;+oo)
4,5(60 оценок)
Это интересно:
Новые ответы от MOGZ: Математика
logo
Вход Регистрация
Что ты хочешь узнать?
Спроси Mozg
Открыть лучший ответ