М
Молодежь
К
Компьютеры-и-электроника
Д
Дом-и-сад
С
Стиль-и-уход-за-собой
П
Праздники-и-традиции
Т
Транспорт
П
Путешествия
С
Семейная-жизнь
Ф
Философия-и-религия
Б
Без категории
М
Мир-работы
Х
Хобби-и-рукоделие
И
Искусство-и-развлечения
В
Взаимоотношения
З
Здоровье
К
Кулинария-и-гостеприимство
Ф
Финансы-и-бизнес
П
Питомцы-и-животные
О
Образование
О
Образование-и-коммуникации
GlebRyabov
GlebRyabov
16.12.2022 05:51 •  Математика

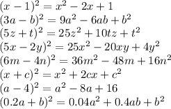
Представьте выражение в виде многочлена (x-1)^2 ; (3a-b)^2 ; (5z+t)^2; (5x-2y)^2 ; (6m-4n)^2; (x+c)^2 ; (a-4)^2 ; (0,2a+b)^2

👇
Ответ:
anisa2004god
anisa2004god
16.12.2022
(x - 1) {}^{2} = x {}^{2} - 2x + 1 \\ (3a - b) {}^{2} = 9a {}^{2} - 6ab + b {}^{2} \\ (5z + t) {}^{2} = 25z {}^{2} + 10tz + t {}^{2} \\ (5x - 2y) {}^{2} = 25x {}^{2} - 20xy + 4y {}^{2} \\ (6m - 4n )^{2} = 36m {}^{2} - 48m + 16n {}^{2} \\ (x + c) {}^{2} = x {}^{2} + 2cx + c {}^{2} \\ (a - 4) {}^{2} = a {}^{2} - 8a + 16 \\ (0.2a + b) {}^{2} = 0.04a {}^{2} + 0.4ab + b {}^{2}
4,7(73 оценок)
Открыть все ответы
Ответ:
муля15
муля15
16.12.2022
Среднее количество дней в году: = (365•3+366)/4 = 365.25 дней  среднее количество дней в квартале: d=365.25/4 = 91.3125 дней показатели в начальном периоде:   коэффициент оборачиваемости (кол-во оборотов за период) k° = 100/25 = 4 раз  продолжительность оборота: t°=d/k° = 91.3125/4 ≈ 22.828 дней показатели в конечном периоде:   коэффициент оборачиваемости (кол-во оборотов за период) k¹ = 110/25 = 4.4 раз  продолжительность оборота: t¹=d/k¹ = 91.3125/4.4 ≈ 20.753 дней изменение коэффициента оборачиваемости = 4.4-4 = +0.4 раз (или +10%)  изменение продолжительности оборота=20.753-22.828=-2.075 дней или 1/(1+10%) -1=1/1.1-1≈-0.091≈-9.1%  относительное высвобождение оборотных средств (из-за ускорения оборачиваемости) = 10/4 = -2.5 млн. руб.  т. е. просто прирост продаж надо разделить на коэффициент оборачиваемости в начальном периоде.
4,7(9 оценок)
Ответ:
alyavladimirov1
alyavladimirov1
16.12.2022
Мифология воссоздает образную картину мира. в религии представления о мироздании формируются на основе веры. содержанием философии являются научно обоснованные мировоззренческие концепции.  в центре внимания мифологии и религии – боги. внимание философии на человеке.  в мифологии и религии игнорируется способность человека к познанию. суть философии – в познании и объяснении жизни во всех ее проявлениях.  мифология – коллективное народное творчество. религия – система взглядов и форма человеческим сознанием. философия – гуманитарная наука.
4,7(15 оценок)
Новые ответы от MOGZ: Математика
Полный доступ к MOGZ
Живи умнее Безлимитный доступ к MOGZ Оформи подписку
logo
Вход Регистрация
Что ты хочешь узнать?
Спроси Mozg
Открыть лучший ответ