М
Молодежь
К
Компьютеры-и-электроника
Д
Дом-и-сад
С
Стиль-и-уход-за-собой
П
Праздники-и-традиции
Т
Транспорт
П
Путешествия
С
Семейная-жизнь
Ф
Философия-и-религия
Б
Без категории
М
Мир-работы
Х
Хобби-и-рукоделие
И
Искусство-и-развлечения
В
Взаимоотношения
З
Здоровье
К
Кулинария-и-гостеприимство
Ф
Финансы-и-бизнес
П
Питомцы-и-животные
О
Образование
О
Образование-и-коммуникации
деляяяяяя
деляяяяяя
10.07.2022 11:16 •  Математика

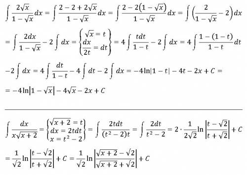
Синтегралами, нужно: \int\limitsdx \frac{2\sqrt{x}}{1-\sqrt{x}} dx \int\limits\frac{1}{x\sqrt{x+2} } dx

👇
Ответ:

Решение на картинке..


Синтегралами, нужно: <img src= [tex]\int\limits\frac{" />
4,4(44 оценок)
Ответ:
mipad0302
mipad0302
10.07.2022

Пошаговое объяснение:


Синтегралами, нужно: <img src= [tex]\int\limits\frac{" />
4,4(33 оценок)
Открыть все ответы
Ответ:
dpichuzhkina
dpichuzhkina
10.07.2022
Практически вся характеристика помещается в несколько строк Пушкина: "любой роман Возьмите и найдете, верно, Ее портрет: он очень мил, Я прежде сам его любил, Но надоел он мне безмерно" Ольга очень красивая, привлекательная девушка, но она совершенно не глубокая и даже глупая. Например, когда Онегин с ней танцует, вызывая ревность Ленского, она вообще не замечает, что происходит что-то вопиющее. "Любовь", поверхностная, как и она сама, для неё образ жизни. Она вся в любви к Владимиру, но вскоре после его смерти уже выскакивает замуж.
4,8(81 оценок)
Ответ:
artgensh
artgensh
10.07.2022
знак определяется по четвертям(координатная плоскость xoy делится на 4 части(справа вверху -1 часть,слева вверху-2,снизу слева-3,справа внизу-4)sin -y(оси)cos -x.
смотришь в какой четверти этот угол и какой знак там имеют х(cos) или у(sin).
1 принадлежит первой четверти, поэтому sin1>0
3 принадлежит второй четверти, поэтому cos3<0
5 принадлежит четвёртой четверти, поэтому tg5<0
Тогда всё произведение >0
sin1=>+
cos3=>-
tg5=>-
знак +*-*-=>+      
ответ:+ 
2) sin 8 • cos 0,7 • tg 6,4 
решение: 
8 радиан равно 458° 21' 45" 
sin (458°- 360°) = sin 98° 
вторая четверть. Синус положительный. 
6,4 радиан равно 366° 41' 76" 
tg (366° - 360°) = tg 6° 
Первая четверть. Тангенс положительный 
0,7 радиан = 40° 
Первая четверть. Косинус  положительный. 
Сответственно знак числа  sin 8 • cos 0,7 • tg 6,4 
будет положительный
 0,7 – это радиан.=>40,11 градус итд
1 радиан- 57,3 градуса
4,5(53 оценок)
Новые ответы от MOGZ: Математика
logo
Вход Регистрация
Что ты хочешь узнать?
Спроси Mozg
Открыть лучший ответ