М
Молодежь
К
Компьютеры-и-электроника
Д
Дом-и-сад
С
Стиль-и-уход-за-собой
П
Праздники-и-традиции
Т
Транспорт
П
Путешествия
С
Семейная-жизнь
Ф
Философия-и-религия
Б
Без категории
М
Мир-работы
Х
Хобби-и-рукоделие
И
Искусство-и-развлечения
В
Взаимоотношения
З
Здоровье
К
Кулинария-и-гостеприимство
Ф
Финансы-и-бизнес
П
Питомцы-и-животные
О
Образование
О
Образование-и-коммуникации
аленка1опр
аленка1опр
03.08.2022 08:41 •  Алгебра

Выражение по действиям и подробно 1и 3​ 100б

👇
Ответ:
katya022
katya022
03.08.2022
1


Выражение по действиям и подробно 1и 3​ 100б
4,7(2 оценок)
Ответ:
kurbanbaevarseN
kurbanbaevarseN
03.08.2022

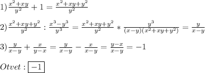
1)\frac{x^{2}+xy}{y^{2}}+1=\frac{x^{2}+xy+y^{2}}{y^{2}}\\\\2)\frac{x^{2}+xy+y^{2}}{y^{2}}:\frac{x^{3}-y^{3}}{y^{3}}=\frac{x^{2}+xy+y^{2}}{y^{2}}*\frac{y^{3}}{(x-y)(x^{2}+xy+y^{2})}=\frac{y}{x-y}\\\\3)\frac{y}{x-y}+\frac{x}{y-x}=\frac{y}{x-y}-\frac{x}{x-y}=\frac{y-x}{x-y}=-1\\\\Otvet:\boxed{-1}

1)\frac{a^{2}}{a+b}-\frac{b^{3}}{a^{2}+ab}=\frac{a^{2}}{a+b}-\frac{b^{3}}{a(a+b)}=\frac{a^{3}-b^{3}}{a(a+b)}\\\\2)\frac{a^{2}-b^{2}}{a^{2}+ab+b^{2}}*\frac{a^{3}-b^{3}}{a(a+b)}=\frac{(a-b)(a+b)}{a^{2}+ab+b^{2}}*\frac{(a-b)(a^{2}+ab+b^{2})}{a(a+b)}=\frac{(a-b)^{2}}{a}\\\\3)\frac{(a+b)^{2}}{a}-\frac{(a-b)^{2}}{a}=\frac{a^{2}+2ab+b^{2}-a^{2}+2ab-b^{2}}{a}=\frac{4ab}{a}=4b\\\\Otvet:\boxed{4b}

4,5(5 оценок)
Открыть все ответы
Ответ:
йцццу
йцццу
03.08.2022
1)d(y)=r 2)y(-x)=(-x)^3-6(-x)^2+2(-x)-6=-x^3-6x^2-2x-6-функция ни чётная, ни нечётная, без периода 3)oy: x=0,y(0)=0^3-6*0^2+2*0-6=0-0+0-6=-6 a(0; -6) ox: y=0,x^3-6x^2+2x-6=0 x=5, b(5,; 0) ∞; 5, y< 0 (5,; ∞) y> 0 5)y'=3x^2-12x+2 3x^2-12x+2=0 d=144-24=120> 0 x1,2=(12±2√30)/(2*3)=(12±2√30)/6=2± (-∞; 2- )∪(2+ ; ∞) растёт (2- ; 2+ ) не растёт xmax=2- ,xmin=2+ 6)асимптоты нет 7)! 1/3_h/ubwwf7wwf7rgzhf23/ap9g/2dft0qt7e9dbj7u7ub39jzp9w/2sttsxs4p4/f0i/ [email  protected]= по-братски дай лучший ответ
4,5(85 оценок)
Ответ:
1234567890824
1234567890824
03.08.2022
Примем всю работу за 1.пусть m дней надо первой бригаде для посадки школьного сада,тогда ( m - 3) дней надо второй бригаде,1/m - часть работы, которую выполняет первая бригада за 1 день,1/m - 3 - часть работы. которую выполняет вторая бригада за 1 день.                                  ответ: первой бригаде понадобилось бы 6 дней на                              посадку сада, второй бригаде 3 дня.
4,5(47 оценок)
Новые ответы от MOGZ: Алгебра
Полный доступ к MOGZ
Живи умнее Безлимитный доступ к MOGZ Оформи подписку
logo
Вход Регистрация
Что ты хочешь узнать?
Спроси Mozg
Открыть лучший ответ