М
Молодежь
К
Компьютеры-и-электроника
Д
Дом-и-сад
С
Стиль-и-уход-за-собой
П
Праздники-и-традиции
Т
Транспорт
П
Путешествия
С
Семейная-жизнь
Ф
Философия-и-религия
Б
Без категории
М
Мир-работы
Х
Хобби-и-рукоделие
И
Искусство-и-развлечения
В
Взаимоотношения
З
Здоровье
К
Кулинария-и-гостеприимство
Ф
Финансы-и-бизнес
П
Питомцы-и-животные
О
Образование
О
Образование-и-коммуникации
veterantitanfaoz8ptr
veterantitanfaoz8ptr
01.04.2020 12:09 •  Алгебра

Многочлен f(x)=x³+ax²+bx+c при делении на x+1 дает остаток 18 а на x-2 делится без остатка найдите корни многочлена

👇
Ответ:
sasipomidorp01sct
sasipomidorp01sct
01.04.2020

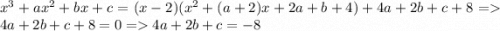
Разделим данный многочлен на двучлен x + 1 и остаток приравняем к 18:

x^3 + ax^2 + bx + c = (x+1)(x^2+(a-1)x+b-a+1) + a - b + c - 1 = a - b + c - 1 = 18 = a - b + c = 19\\

Теперь разделим этот же многочлен на x - 2:

x^3 + ax^2 + bx + c = (x-2)(x^2+(a+2)x+2a+b+4) + 4a + 2b+c+8 = 4a + 2b +c+8 = 0 = 4a+2b+c = -8

Получается система из двух уравнений с тремя неизвестными:

\left \{ {{a-b+c=19} \atop {4a+2b+c=-8}} \right. = \left \{ {{a+b =-9} \atop {a-b+c=19}} \right. = \left \{ {{a+b=-9} \atop {a+b-2b+c=19}} \right. = \left \{ {{a+b=-9} \atop {c-2b=28}} \right. = \left \{ {{a = -b-9} \atop {c=28+2b}} \right. , b \in R

Берем любое b, для него находим a и c, и решаем соответствующее кубическое уравнение. Например, пусть b = -4, тогда a = -5, а c = 20.

f(x) = x^3 -5x^2-4x+20 = (x-2)(x+2)(x-5)=0 = x_1 = -2, x_2 = 2, x_3 = 5

4,6(70 оценок)
Открыть все ответы
Ответ:
olenkadergunov
olenkadergunov
01.04.2020

за 3,75 дня пути

Объяснение:

Решение на скриншоте, потому что формулы тут писать не очень удобно.

Решение квадратного уравнения я не расписывала.

Результат в 3,75 дня означает, что за 4 дня альпинисты поднимутся выше чем на 5000 м, а за 3 дня - ниже. То есть требуемая высота будет достигнута в конце четвертого дня пути.

Проверка "вручную"

1- день - 1400 м

2 день - 1350 м

3 день - 1300 м

4 день 1250 м

за 4 дня поднимутся на 1400+1350+1300+1250 = 5300 (то есть за полных 4 дня поднимутся на 5300 метров, что больше чем нужно. Очевидно, ответ будет чуть меньше чем 4 дня, что вполне согласуется с полученным результатом 3,75)


, подробно распишите как делать задание: Альпинисты в первый день восхождения поднялись на высоту 14
4,6(91 оценок)
Ответ:
VeronikaKit
VeronikaKit
01.04.2020

1

a)cos 260° * sin 190°

cos 260° < 0, (260° - угол 3 четверти, где косинус отрицателен)

sin 190° < 0(190° - угол 3 четверти, где синус отрицателен).

Поэтому это выражение больше 0.

б)cos 350° * tg(-100°)

cos 350° > 0(350° - угол 4 четверти, где косинус положителен).

tg(-100°) = -tg 100° > 0(100° - угол 2 четверти, где тангенс отрицателен, да ещё минус)

Поэтому, значение выражения больше 0.

2

а)sin 230° < 0, так как 230° - угол 3 четверти, где синус отрицателен.

б)cos 170° < 0, так как 170° - угол 2 четверти, где косинус отрицателен

в)tg 330° < 0, так как 330° - угол 4 четверти, где тангенс отрицателен

г)ctg(-220°) = -ctg 220° < 0, так как само выражение ctg 220° > 0(угол относится к 3 четверти, где котангенс положителен), да ещё минус прибавили.

д)В знаменателе у нас стоит постоянное число 8, так что знак выражения будет зависеть только от числителя. Достаточно проверить лишь одно из выражений, например, cos 3:

cos(3 * 57) = cos 171° < 0, (171 - угол 2 четверти, где косинус отрицателен). Поэтому всё выражение заведомом меньше нуля

4,6(100 оценок)
Новые ответы от MOGZ: Алгебра
logo
Вход Регистрация
Что ты хочешь узнать?
Спроси Mozg
Открыть лучший ответ