М
Молодежь
К
Компьютеры-и-электроника
Д
Дом-и-сад
С
Стиль-и-уход-за-собой
П
Праздники-и-традиции
Т
Транспорт
П
Путешествия
С
Семейная-жизнь
Ф
Философия-и-религия
Б
Без категории
М
Мир-работы
Х
Хобби-и-рукоделие
И
Искусство-и-развлечения
В
Взаимоотношения
З
Здоровье
К
Кулинария-и-гостеприимство
Ф
Финансы-и-бизнес
П
Питомцы-и-животные
О
Образование
О
Образование-и-коммуникации
сяньчик
сяньчик
09.03.2023 18:38 •  Алгебра

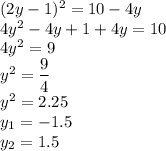
Решите уравнение: (2у-1)^2=10-4у

👇
Ответ:
AlexPomanov
AlexPomanov
09.03.2023

(2y-1)^{2}=10-4y\\\\4y^{2}-4y+1-10+4y=0\\\\4y^{2}-9=0\\\\(2y)^{2}-3^{2}=0\\\\(2y-3)(2y+3)=0\\\\1)2y-3=0\\\\2y=3\\\\y_{1}=1,5\\\\2)2y+3=0\\\\2y=-3\\\\y_{2}=-1,5\\\\Otvet:\boxed{1,5;-1,5}

4,7(24 оценок)
Ответ:
gjrdghhFafhj
gjrdghhFafhj
09.03.2023

(2y-1)^2=10-4y\\4y^2-4y+1+4y=10\\4y^2=9\\y^2=\dfrac94\\y^2=2.25\\y_1=-1.5\\y_2=1.5

или

y=\underline+1.5

4,5(25 оценок)
Открыть все ответы
Ответ:
Arai54
Arai54
09.03.2023
Т. к исходный график параллелен прямой у=3х-1 , значит, в исходной формуле  к=3, так как график проходит через точку м(2; 1), то можно подставить в формулу у=кх+b вместо х и у значения 2 и 1 соответственно и  k=3, получаем: 1=3*2+b 1=6+b b=-5 y=3x-5чертим систему координат, отмечаем положительные направления стрелками  вправо и вверх, подписываем оси вправо - х, вверх -у. отмечаем начало координат   - точка о и единичные отрезки по каждой оси в 1 клетку. графиком является прямая, для её построения достаточно двух точек, запишем их координаты в таблицу: х=     0       3 у=   -5       1 ставим координаты в системе и проводим через них прямую линию. подписываем график у=3х-5.
4,6(99 оценок)
Ответ:
Т. к исходный график параллелен прямой у=3х-1 , значит, в исходной формуле  к=3, так как график проходит через точку м(2; 1), то можно подставить в формулу у=кх+b вместо х и у значения 2 и 1 соответственно и  k=3, получаем: 1=3*2+b 1=6+b b=-5 y=3x-5чертим систему координат, отмечаем положительные направления стрелками  вправо и вверх, подписываем оси вправо - х, вверх -у. отмечаем начало координат   - точка о и единичные отрезки по каждой оси в 1 клетку. графиком является прямая, для её построения достаточно двух точек, запишем их координаты в таблицу: х=     0       3 у=   -5       1 ставим координаты в системе и проводим через них прямую линию. подписываем график у=3х-5.
4,5(8 оценок)
Это интересно:
Новые ответы от MOGZ: Алгебра
logo
Вход Регистрация
Что ты хочешь узнать?
Спроси Mozg
Открыть лучший ответ