М
Молодежь
К
Компьютеры-и-электроника
Д
Дом-и-сад
С
Стиль-и-уход-за-собой
П
Праздники-и-традиции
Т
Транспорт
П
Путешествия
С
Семейная-жизнь
Ф
Философия-и-религия
Б
Без категории
М
Мир-работы
Х
Хобби-и-рукоделие
И
Искусство-и-развлечения
В
Взаимоотношения
З
Здоровье
К
Кулинария-и-гостеприимство
Ф
Финансы-и-бизнес
П
Питомцы-и-животные
О
Образование
О
Образование-и-коммуникации
Анигелятор228
Анигелятор228
27.07.2020 06:01 •  Алгебра

Определите, какие из следующих функций являются линейными: y=3x+1; y=5x; y=70- 2x; y=x^2-1; y=x-3x; y=0,5+3x; y=x; y=0; y= 5x-1/6. Назовите k и b для функций вида y=kx+b

👇
Ответ:
tarasenkosasa
tarasenkosasa
27.07.2020

Объяснение:

Функция вида

y=kx+b

называется линейной.

Следовательно, среды перечисленных линейными есть

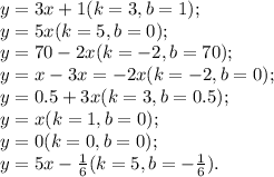
y=3x+1 (k=3, b=1);\\y=5x (k=5, b=0);\\y=70-2x (k=-2, b=70);\\y=x-3x=-2x (k=-2, b=0);\\y=0.5+3x (k=3, b=0.5);\\y=x (k=1, b=0);\\y=0 (k=0, b=0);\\y=5x-\frac{1}{6} (k=5, b=-\frac{1}{6} ).

4,4(20 оценок)
Открыть все ответы
Ответ:
Mашka
Mашka
27.07.2020

192

Объяснение:

Чётные цифры: 0, 2, 4, 6, 8.

пятизначные числа не начинаются с 0, значит, на первом месте любая из четырёх цифр: 2, 4, 6, 8 На втором месте цифра 1 или 3, два варианта.

На третьем месте можно написать 0, но нельзя ту цифру, которая на первом месте. Цифры в записи числа не должны повторяться. Значит, четыре варианта для записи второй цифры.

На четвёртом месте цифра 5 или 7 - два варианта.

На пятом месте - чётная цифра, но не такая, как на первом и третьем - три варианта.

На шестом месте цифра 9 - один вариант.

По правилу произведения перемножаем возможные варианты постановки каждой цифры:

4⋅2⋅4⋅2⋅3⋅1=192

ответ: 192

4,5(41 оценок)
Ответ:
natik045
natik045
27.07.2020

192

Объяснение:

Чётные цифры: 0, 2, 4, 6, 8.

пятизначные числа не начинаются с 0, значит, на первом месте любая из четырёх цифр: 2, 4, 6, 8 На втором месте цифра 1 или 3, два варианта.

На третьем месте можно написать 0, но нельзя ту цифру, которая на первом месте. Цифры в записи числа не должны повторяться. Значит, четыре варианта для записи второй цифры.

На четвёртом месте цифра 5 или 7 - два варианта.

На пятом месте - чётная цифра, но не такая, как на первом и третьем - три варианта.

На шестом месте цифра 9 - один вариант.

По правилу произведения перемножаем возможные варианты постановки каждой цифры:

4⋅2⋅4⋅2⋅3⋅1=192

ответ: 192

4,5(90 оценок)
logo
Вход Регистрация
Что ты хочешь узнать?
Спроси Mozg
Открыть лучший ответ