М
Молодежь
К
Компьютеры-и-электроника
Д
Дом-и-сад
С
Стиль-и-уход-за-собой
П
Праздники-и-традиции
Т
Транспорт
П
Путешествия
С
Семейная-жизнь
Ф
Философия-и-религия
Б
Без категории
М
Мир-работы
Х
Хобби-и-рукоделие
И
Искусство-и-развлечения
В
Взаимоотношения
З
Здоровье
К
Кулинария-и-гостеприимство
Ф
Финансы-и-бизнес
П
Питомцы-и-животные
О
Образование
О
Образование-и-коммуникации
лера2083
лера2083
01.03.2020 21:50 •  Алгебра

Напишите уравнение касательной к графику функции f(x)=2cosx-3 в точке с абсциссой равной 0.

👇
Ответ:
Лаура2205200
Лаура2205200
01.03.2020

f(x) = f(x0) + f'(x0) \times (x - x0)

- формула для поиска уравнения касательной

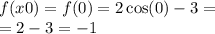
f(x) = 2 \cos(x) - 3

f(x0) = f(0) = 2 \cos(0) - 3 = \\ = 2 - 3 = - 1

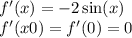
f'(x) = - 2 \sin(x) \\ f'(x0) = f'(0) = 0

f(x) = - 1 + 0 \times (x - 0) = - 1

f(x) = - 1

4,4(14 оценок)
Открыть все ответы
Ответ:
ninadyukovap0a6fu
ninadyukovap0a6fu
01.03.2020
Замечаем что все показатели степени нечетные числа, а значит если х отрицательное, то и его степень число отрицательное

Поэтому если х отрицательное то слева число отрицательное (как сумма отрицательных)
Если х=0, то в левой части уравнения очевидно 0. Этот случай тоже не подходит
Если 0<x<1то 
для каждой степени 
а значит л.ч. < 
--(использовали формулу арифмитической прогрессии с первым членом 1 и разностью 1
иначе для суммы первых натуральных чисел справедлива формула 
)

При x=1 
Получаем равенство 1+2+...+20=210
x=1 - решение

и При x>1 получаем что л.ч. больше правой так как 
и л.ч. >
ответ: 1

Пусть a, b, t — возраст Ани, Вани, мамы сейчас. Тогда b-a лет назад Ваня был в возрасте Ани и в это времяa-(b-a) — возраст Ани,b-(b-a) — возраст Вани,t-(b-a) — возраст мамы.Из первого условия задачи следует уравнениеt-(b-a)=a+b-3с решениемt=2b-3, показывающим зависимость возраста мамы от возраста Вани.Осталось решить еще одно уравнение, вытекающее из заключительного условия задачиb=2b-3,с решением b=3. К последнему условию можно сделать содержательное пояснение: b-3 года назад возраст мамы  действительно составлял возраст Вани сейчасt-(b-3)=2b-3 — (b-3) = bа возрвст Ваниb — (b-3) = 3.
4,8(13 оценок)
Ответ:
violettapolen95
violettapolen95
01.03.2020
Решение:
Биссектриса равностороннего треугольника является высотой, которая делит равносторонний треугольник на равных прямоугольных треугольника.
Биссектрису, которая является катетом прямоугольного треугольника,  можно найти по Теореме Пифагора.
Сторона треугольника-гипотенуза, биссектриса  делит основание равностороннего треугольника пополам:
12√3 : 2=6√3-другой катет
По теореме Пифагора:
с²=а²+b²
(12√3)²=(6√3)² +b²
b²=(12√3)² - (6√3)²=144*3 - 36*3=432 - 108=324
b=√324=18- биссектриса

ответ: Биссектриса в данном равностороннем треугольнике равна 18
4,5(77 оценок)
Это интересно:
Новые ответы от MOGZ: Алгебра
logo
Вход Регистрация
Что ты хочешь узнать?
Спроси Mozg
Открыть лучший ответ