
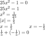
25x2 -1=0
25x^2=1
x^2=1\25
x= - 1\5 и + 1\5
сумма 0
ответ:х км/год - швид. поїзда
(х+36)км/год - швид. авто
Відстань однакова
7х=3(х+36)
4х=108
х=27(км/год) - швидкість поїзда
27+36=63(км/год) - шв. автомобіля
40. Автомобіль їхав 3 години по шосе і 2 години – по
ґрунтовій дорозі, де його швидкість була на 15 км/год менше, ніж на шоссе. Всього
за 5 годин автомобіль проїхав 270 км. Знайдіть швидкість автомобіля на шоссе і на дорозі.
х км/год - швид. по шосе
(х-15) км/год - шв. по грун. дорозі
3х+2(х-15)=270
5х=300
х=60(км/год) - шв. по шосе
60-15=45(км/год) - швид. по грунт. дорозі
41. Автомобіль проїхав з пункту А до пункту В зі швидкістю 70 км/год. На
зворотному шляху він зменшив швидкість на 10 км/год і витратив на 45 хвилин
більше. Знайдіть відстань між А і В.
х год - час руху від А до В
(х-0,75) год - час руху від В до А
70х=60(х+0,75)
10х=45
х=4,5(год) - час руху від А до В
70*4,5=315(км) - відстань від А до В
42. Турист пройшов дві ділянки шляху протягом 12 годин.
На одній із ділянок він ішов зі швидкістю 4 км/год, а на іншій – 5 км/год.
Знайдіть довжину кожної ділянки, якщо середня швидкість туриста склала 4,75 км/год.
х год - час руху на І ділянці
(12-х) год - час руху на ІІ ділянці
4х+5(12-х)=4,75*12
4х+60-5х=57
х=3(год) - час руху на І ділянці
4*3=12(км) - довжина І ділянки
12-3=9(год) - час руху на ІІ ділянці
5*9=45(км) - довжина ІІ ділянки
43. Із двох пунктів, відстань між якими 2 км, одночасно
назустріч один одному вирушили пішохід і вершник. Яка швидкість кожного, якщо
вершник їхав на 12 км/год. швидше пішохода й вони зустрілися через 5 хв.?
5хв=1/12год
х км/год - шв пішохода
(х+12)км/год - шв вершника
2: 1/12=(х+х+12)
2х+12=24
2х=12
х=6(км/год) - шв. пішохода
6+12=18(км/год) - шв. вершника
44. З двох міст назустріч один одному одночасно виїхали
мотоцикл і легкова машина.Швидкість легкової машини дорівнює 56 км/год, що
становить QUOTE швидкості мотоцикла. Знайдіть відстань між
містами, якщо мотоцикл і машина зустрілись через 2 QUOTE год після початку руху.
№45., як 41