М
Молодежь
К
Компьютеры-и-электроника
Д
Дом-и-сад
С
Стиль-и-уход-за-собой
П
Праздники-и-традиции
Т
Транспорт
П
Путешествия
С
Семейная-жизнь
Ф
Философия-и-религия
Б
Без категории
М
Мир-работы
Х
Хобби-и-рукоделие
И
Искусство-и-развлечения
В
Взаимоотношения
З
Здоровье
К
Кулинария-и-гостеприимство
Ф
Финансы-и-бизнес
П
Питомцы-и-животные
О
Образование
О
Образование-и-коммуникации
serpgo1
serpgo1
10.01.2021 02:41 •  Алгебра

Если а/b=1/4, то число (a^2+2ab)/(b^2+2ab) равно

👇
Ответ:
тима156
тима156
10.01.2021
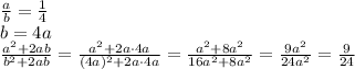
\frac{a}{b} = \frac{1}{4}
\\\
b=4a
\\\
 \frac{a^2+2ab}{b^2+2ab} = \frac{a^2+2a\cdot4a}{(4a)^2+2a\cdot4a} = \frac{a^2+8a^2}{16a^2+8a^2} = \frac{9a^2}{24a^2} = \frac{9}{24}
ответ: 9/24
4,5(25 оценок)
Открыть все ответы
Ответ:
хорошист549
хорошист549
10.01.2021
1) (a-1)²-(a-2)(a+2)+(a+3)(a-1)-(a-2)²=
   =a²-2a+1-(a²-4)+a²+2a-3-(a²-4a+4)=
   =a²-2a+1-a²+4+a²+2a-3-a²+4a-4= 4a-2

2) 3789 = 0,3789*10⁴
    М(3789)= 0,3789

3) y=2x²+3
    при х=0  у=3
    (0;3)

4) x²=a, x - иррациональное число
    x=√a  и   х=-√а
   
    например, при а=9
    x₁=√9      x₂=-√9
    x₁=3       x₂=-3

5) 71+98=169(см²) - площадь квадрата
    √169 =13 (см) - сторона квадрата

6) 2x²-3x+1=0
    D=(-3)²-4*2*1=9-8=1

7) x>√13, x-наименьшее целое число
    √13 < √16=4
     4>√13
     4- искомое число
4,8(81 оценок)
Ответ:
androsova2016
androsova2016
10.01.2021

1) корень из 4x-7=3( левая часть под корнем)

     Возведём в квадрат обе части уравнения (и корень уйдёт)

      4х-7=9

      4х=9+7

      4х=16
       х=16/4

       х=4
2) корень из x^2- 10x +1=5 (левая часть под корнем)

    Возведём в квадрат обе части уравнения.

      x^2-10x+1=25

       x^2-10x-24=0
       D=100-4*(-24)=100+96=196

    x1=(10+14)/2=24/2=12

    х2=(10-14)/2=-4/2=-2
3) корень из x^2 -3x=корень из2x-4 (обе части под корнем)

        x^2-3x=2x-4

        x^2-5x+4=0

        x1=4, x2=1

4) корень из x^2 -3x= x+3( левая чать под корнем)

         x^2-3x=x^2+6x+9

         -9x=9

          x=-1 

4,5(20 оценок)
Это интересно:
Новые ответы от MOGZ: Алгебра
logo
Вход Регистрация
Что ты хочешь узнать?
Спроси Mozg
Открыть лучший ответ