М
Молодежь
К
Компьютеры-и-электроника
Д
Дом-и-сад
С
Стиль-и-уход-за-собой
П
Праздники-и-традиции
Т
Транспорт
П
Путешествия
С
Семейная-жизнь
Ф
Философия-и-религия
Б
Без категории
М
Мир-работы
Х
Хобби-и-рукоделие
И
Искусство-и-развлечения
В
Взаимоотношения
З
Здоровье
К
Кулинария-и-гостеприимство
Ф
Финансы-и-бизнес
П
Питомцы-и-животные
О
Образование
О
Образование-и-коммуникации
viva32
viva32
10.09.2022 11:55 •  Алгебра

Дано: a=b+1, доказать, что (a+b)(a^2++b^64)=a^128-b^128

👇
Ответ:
LB27
LB27
10.09.2022
Используя формулу разности квадратов (X+Y)(X-Y)=X^2-Y^2
Домножив и разделив на 1 или то же самое что а-в, получим
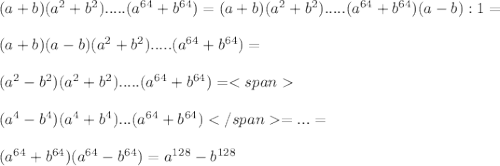
(a+b)(a^2+b^2).....(a^{64}+b^{64})=(a+b)(a^2+b^2).....(a^{64}+b^{64})(a-b):1=\\\\(a+b)(a-b)(a^2+b^2).....(a^{64}+b^{64})=\\\\ (a^2-b^2)(a^2+b^2).....(a^{64}+b^{64})=<span\\\\ (a^4-b^4)(a^4+b^4)...(a^{64}+b^{64})</span =...=\\\\ (a^{64}+b^{64})(a^{64}-b^{64})=a^{128}-b^{128}. Доказано
4,5(16 оценок)
Открыть все ответы
Ответ:
Sasha476
Sasha476
10.09.2022
Итак,привет.
Это выражение можно легко решить .Итак начнем:
Пока что без столбиков :
3.6:0,08+5,2*2,5
3,6:0,08 = 45            5,2*2,5=13
Теперь будем вместе их складывать :
 45+13 =58 
Столбиком :                     
 
36l0,08                                  ×5,2
32⊥45                                     2,5
__                                            ___
  40                                          13
  40
 ___
     0                                  Сложение надеюсь ты сам его сделаешь                                                     столбиком.
4,7(11 оценок)
Ответ:

1. 3х - 3

2. -11

3. 7х - 1

4. -20

5. 5

6. 2х - 9

7. 2

8. 7х - 10

9. -19

10. 7х - 5

Объяснение:

1. 3(х+4) - (3-х) - х - 4 = 3х + 4 - 3 + х - х - 4 = 3х - 3

2. x + 4 - 5(2-х) - (5+1)х - 5 = х + 4 - 10 + 5х - 5х - х - 5 = 4 - 10 - 5 = -11

3. 4(x+4) - 4(3-х) - x - 5 = 4х + 16 - 12 + 4х - х - 5 = 4х + 4х - х + 16 - 12 - 5 = 7х - 1

4. x + 2 - 4(5-х) - (4+1)х - 2 = х + 2 - 20 + 4х - 4х - х - 2 = -20

5. 2(x+4) - (1-x) - (1+2)х - 2 = 2х + 8 - 1 + х - х - 2х - 2 = 8 - 1 - 2 = 5

6. x + 2 - 2(5-х) - x - 1 = х + 2 - 10 + 2х - х - 1 = 2 - 10 - 1 + 2х = -9 + 2х = 2х - 9

7. 4(x+2) - (1-x) - (1+4)х - 5 = 4х + 8 - 1 + х - х - 4х - 5 = 8 - 1 - 5 = 2

8. 4(х+2) - 4(4-x) - x - 2 = 4х + 8 - 16 + 4х - х - 2 = 4х + 4х - х + 8 - 16 - 2 = 7х - 10

9. 3(х+1) - 4(5-х) - (4+3)х - 2 = 3х + 3 - 20 + 4х - 4х - 3х - 2 = 3 - 20 - 2 = -19

10. 3(x+3) - 5(2-х) - x - 4 = 3х + 9 - 10 + 5х - х - 4 = 3х + 5х - х + 9 - 10 - 4 = 7х - 5

4,6(89 оценок)
Это интересно:
Новые ответы от MOGZ: Алгебра
logo
Вход Регистрация
Что ты хочешь узнать?
Спроси Mozg
Открыть лучший ответ