Вход
Регистрация
Спроси Mozg AI
М
Молодежь
К
Компьютеры-и-электроника
Д
Дом-и-сад
С
Стиль-и-уход-за-собой
П
Праздники-и-традиции
Т
Транспорт
П
Путешествия
С
Семейная-жизнь
Ф
Философия-и-религия
Б
Без категории
М
Мир-работы
Х
Хобби-и-рукоделие
И
Искусство-и-развлечения
В
Взаимоотношения
З
Здоровье
К
Кулинария-и-гостеприимство
Ф
Финансы-и-бизнес
П
Питомцы-и-животные
О
Образование
О
Образование-и-коммуникации
.....больше.....
..меньше..
polinasparrow
08.01.2020 16:56 •
Алгебра
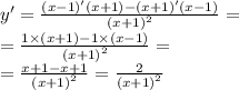
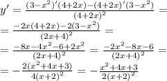
Найти производную функции :
👇
Увидеть ответ
Ответ:
negatiff95
08.01.2020
36.5
1
2
3
4
5
6
36.6
1
2
3
4
5
6
4,6
(8 оценок)
Открыть все ответы
Ответ:
муратмурмур
08.01.2020
Найдите значения выражения cos(a+b), если sina sinb= 1/2 и a-b=п/2:
cos(a-b), если sina sinb=1/2 и a+b=3п/2.
1) sinα *sinβ = ( cos(α - β) - cos(α +β) ) /2 ⇔
1/2 =( cosπ/2 - cos(α +β) ) /2⇔1/2 =( 0 - cos(α +β) ) /2 ⇒ cos(α +β) = - 1.
---
или по другому :
cos(α +β) = cosα *cosβ - sinα *sinβ = cosα *cosβ -1/2.
Остается определить cosα*cosβ .
Имеем α - β =π/2 ⇔ cos(α - β) = cosπ/2 =0 , с другой стороны :
cos(α - β)=cosα *cosβ +sinα *sinβ , значит cosα *cosβ = -1/2 .
окончательно cos(α +β) = cosα *cosβ -1/2 = -1/2 -1/2 = -1.
ответ: cos(α +β) = -1.
* * * * * * *
2)
cos(α - β) - cos(α +β) =(cosα *cosβ +sinα*sinβ) - (cosα *cosβ -sinα*sinβ)
=2sinα *sinβ ⇔ cos(α - β) = cos3π/2 +2*1/2 ⇔ cos(α - β) = 0 +1=1.
ответ: cos(α -β) = 1.
4,7
(28 оценок)
Ответ:
iga5
08.01.2020
Найдите значения выражения cos(a+b), если sina sinb= 1/2 и a-b=п/2:
cos(a-b), если sina sinb=1/2 и a+b=3п/2.
1) sinα *sinβ = ( cos(α - β) - cos(α +β) ) /2 ⇔
1/2 =( cosπ/2 - cos(α +β) ) /2⇔1/2 =( 0 - cos(α +β) ) /2 ⇒ cos(α +β) = - 1.
---
или по другому :
cos(α +β) = cosα *cosβ - sinα *sinβ = cosα *cosβ -1/2.
Остается определить cosα*cosβ .
Имеем α - β =π/2 ⇔ cos(α - β) = cosπ/2 =0 , с другой стороны :
cos(α - β)=cosα *cosβ +sinα *sinβ , значит cosα *cosβ = -1/2 .
окончательно cos(α +β) = cosα *cosβ -1/2 = -1/2 -1/2 = -1.
ответ: cos(α +β) = -1.
* * * * * * *
2)
cos(α - β) - cos(α +β) =(cosα *cosβ +sinα*sinβ) - (cosα *cosβ -sinα*sinβ)
=2sinα *sinβ ⇔ cos(α - β) = cos3π/2 +2*1/2 ⇔ cos(α - β) = 0 +1=1.
ответ: cos(α -β) = 1.
4,4
(88 оценок)
Это интересно:
О
Образование-и-коммуникации
27.10.2021
Как вести дневник: польза для здоровья и советы по созданию своего...
С
Стиль-и-уход-за-собой
08.07.2022
Как правильно рисовать кошачий глаз при помощи подводки для глаз?...
К
Компьютеры-и-электроника
07.06.2022
Как просто и быстро очистить Корзину на iPhone...
Ф
Финансы-и-бизнес
22.04.2022
Как открыть предприятие малого бизнеса: полный гайд...
Т
Транспорт
29.01.2021
Как правильно заботиться о мотоцикле и сделать его долговечным...
Д
Дом-и-сад
08.01.2020
Как подготовить квартиру к отъезду: советы от профессионалов...
З
Здоровье
03.04.2021
Как вылечить прищемленный палец: лечение дома и медицинские советы...
С
Семейная-жизнь
28.05.2021
Как помочь родителям, которые похоронили своего ребенка: советы и рекомендации...
К
Компьютеры-и-электроника
26.03.2023
Как изменить проверочный номер для кода безопасности iCloud на iPhone...
З
Здоровье
02.09.2020
Польза и способы приема пчелиной пыльцы...
Новые ответы от MOGZ: Алгебра
aika043
09.12.2022
Y=(x+7)^2 найти точку минимума функции...
Uliana7003
14.11.2021
На стороне ab параллелограмма abcd взята точка p так, что ap: bp = 7: 8. найдите площадь треугольника apd, если площадь параллелограмма abcd равна 54....
Masha8157
14.10.2020
Не выполняя построения графиков функций y=4x-5 и y=-3x+44 найдите ординату точки их пересечения...
tania071168
24.03.2021
Функцію задано формулою f(x)=√x(x^3+1) вкажіть найменше натуральне парне значення змінної x з проміжку зростання вкажіть кількість точок екстремуму...
Andrey18282919
21.09.2020
Найдите значение выражения ху+2,если 6х+2у=4 и х+3у=-10...
Runalbert
27.01.2020
Сколько корней имеет уравнение сх+2 -с-2х+3=0...
usb55991
28.09.2021
На тарелке 12 пирожков: 5 с мясом, 4 с капустой и 3 с вишней. наташа наугад выбирает один пирожок. найдите вероятность того, что он окажется с вишней....
milenakag2008
28.09.2021
Срешением примера за 10класс! |3x+1/x-5|больше или равно 1. палочки(|) это модуль. 20...
MI743
09.03.2020
Вычислить sin2α, если: 1) sinα + cosα= ½...
sametovarnur
09.03.2020
Какая из данных функций является линейной решение расписать) а) у=\frac{5}{х} ; б) у=7х-3 ; в) у=x^{2}+9 ....
MOGZ ответил
Жазылым. 1-тапсырма: Ы.Алтынсариннің өлеңі бойынша кестені толықтырып жаз. Өлеңдегі...
6 Complete the text with the verb expressions in the box. take care came into...
На рисунку подано шкалу вимірювального приладу. Визначте ціну поділки шкали та...
Задание 1. Какие промышленные предприятия появляются первыми в Казахстане и почему?...
2-тапсырма. Қытай елінен Ұлы Жібек жолы арқылы батысқа шыққан бір саяхатшы Қазақстанның...
Найдите промежутки возрастания и убывания квадратичной функции f(x)=(x-6)^2 +...
плез (❍ᴥ❍ʋ) Даны точки M (2; 4; 3) и N (3; 7; 6).Найдите координаты вектора NM...
мәтінді мұқият тыңда берілген мәтін мазмұныны бойынша жалпы және нақты сұрақтарға...
Найдите в этом упражнении вводные слова, укажите их. Выпишите три глагола, определите...
.Преобразовать: а)(3х – 2у)(3х + 2у); б) (3/4d2- 4/3c2)2; в) (4а + 3)(16а2-12а...
Полный доступ к MOGZ
Живи умнее Безлимитный доступ к MOGZ
Оформи подписку
О НАС
О нас
Блог
Условия пользования
Авторское право
Политика конфиденциальности
Предпочтения cookie-файлов
ПОМОЩЬ
Зарегистрируйся
Центр помощи
Центр безопасности
App
Вход
Регистрация
Что ты хочешь узнать?
Спроси Mozg
Открыть лучший ответ
36.5
1
2
3
4
5
6
36.6
1
2
3
4
5
6