М
Молодежь
К
Компьютеры-и-электроника
Д
Дом-и-сад
С
Стиль-и-уход-за-собой
П
Праздники-и-традиции
Т
Транспорт
П
Путешествия
С
Семейная-жизнь
Ф
Философия-и-религия
Б
Без категории
М
Мир-работы
Х
Хобби-и-рукоделие
И
Искусство-и-развлечения
В
Взаимоотношения
З
Здоровье
К
Кулинария-и-гостеприимство
Ф
Финансы-и-бизнес
П
Питомцы-и-животные
О
Образование
О
Образование-и-коммуникации
iirunka153
iirunka153
07.04.2023 05:20 •  Алгебра

Найдите сумму всех отрицательных членов арифметической прогрессии:-163;-158.

👇
Ответ:
dimat123
dimat123
07.04.2023

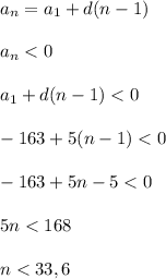
Найдём разность прогрессии :

a_{1}=-163a_{2}=-158a_{2}=a_{1}+dd=a_{2}-a_{1}=-158-(-163)=-158+163=5

Найдём число отрицательных членов прогрессии :

a_{n}=a_{1}+d(n-1)a_{n}

Значит n = 33

Найдём сумму всех отрицательных чисел :

S_{33}=\frac{2a_{1}+32d}{2} *33=(a_{1}+16d)*33=(-163+16*5)*33==(-163+80)*33=-83*33=-2739

4,6(37 оценок)
Открыть все ответы
Ответ:
vvvvcrrrq
vvvvcrrrq
07.04.2023
А) 1,8 : x = 0,9 : 10                           в) х : 12 = 0,3 : 0,4 
    1,8 : х = 0,09                                   х : 12 = 0,75
     х = 1,8 : 0,09                                  х = 0,75 * 12
     х = 20                                            х = 9

б) 27 : 18 = х : 3,6                           Г) 3 : 7 = 10 : х 2
    1,5 = х : 3,6                                   проверьте правильность написания условия
    х = 3,6  *  1,5
    х = 5,4

задание № 2
 а) с числами 4, 9, 12 и 27 можно составить пропорцию 27 : 9 = 12 : 4  
 б) с числами 5, 7, 15 и 21 можно составить пропорцию 21 :7 = 15 : 5

    
4,4(96 оценок)
Ответ:
millergil
millergil
07.04.2023
Пусть знаменатель дроби х, числитель (х-7).
Дробь (х-7)/х.
Если числитель этой дроби уменьшить на 1 , а знаменатель увеличить на 4, то получим дробь ((х-7)-1)/(х+4)=(х-8)/(х+4).
По условию дробь уменьшится на 1/6.
Уравнение (х-7)/х - (1/6)=(х-8)/(х+4).

Умножаем  на 6х(х+4)≠0.
6(х+4)(х-7)-х(х+4)=6х(х-8);
х²-26х+168=0
D=(-26)²-4·168=676-672=4.
x=(26-2)/2=12 или  х=(26+2)/2=14

х-7=12-7=5                   или                         х-7=14-7=7
дробь 5/12                                                        7/14
(5-1)/(12+4)=4/16=1/4-                                (7-1)/(14+4)=6/18=1/3
новая дробь
(5/12)-(1/6)=(5/12)-(2/12)=3/12=1/4       (7/14)-(1/6)=(21/42)- (7/42)=14/42=                                                                                                                       =1/3

О т в е т. 5/12  или 7/14.
4,4(13 оценок)
Новые ответы от MOGZ: Алгебра
logo
Вход Регистрация
Что ты хочешь узнать?
Спроси Mozg
Открыть лучший ответ