М
Молодежь
К
Компьютеры-и-электроника
Д
Дом-и-сад
С
Стиль-и-уход-за-собой
П
Праздники-и-традиции
Т
Транспорт
П
Путешествия
С
Семейная-жизнь
Ф
Философия-и-религия
Б
Без категории
М
Мир-работы
Х
Хобби-и-рукоделие
И
Искусство-и-развлечения
В
Взаимоотношения
З
Здоровье
К
Кулинария-и-гостеприимство
Ф
Финансы-и-бизнес
П
Питомцы-и-животные
О
Образование
О
Образование-и-коммуникации
vovastepochkin
vovastepochkin
18.05.2022 08:14 •  Алгебра

Знайдіть проміжки зростання і спадання функції y=-x^2 -6x -5 та її найбільше значення

👇
Ответ:
Ivankozyr69gmail
Ivankozyr69gmail
18.05.2022
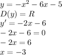
y=-x^2-6x-5\\
D(y)=R\\
y'=-2x-6\\
-2x-6=0\\
-2x=6\\
x=-3
-3 - критична точка.
Тепер дослідимо зміну знака y' при переході через критичну точку
(дивись малюнок)
x_{max}=-3 - найбільше значення ф-ції
Функція зростаэ' якщо х=(-безкінечність; -3)
Функція спадає, якщо х=(-3; +бескінечність).

Знайдіть проміжки зростання і спадання функції y=-x^2 -6x -5 та її найбільше значення
4,8(12 оценок)
Открыть все ответы
Ответ:
yesayes
yesayes
18.05.2022
Пусть A - объём работы, которую предстоит выполнить. Пусть t ч - время, за которое может выполнить эту работу один фотограф и t+2 ч - второй фотограф. Тогда за 1 час один фотограф выполняет A/t часть работы, а другой фотограф - A/(t+2) часть работы. Работая же вместе, они за 1 час выполняют A/t+A/(t+2) часть работы. По условию, [A/t+A/(t+2)]*15/8=A. Сокращая на A, приходим к уравнению [1/t+1/(t+2)]*15/8=1, которое приводится к квадратному уравнению 4*t²-7*t-15=0. Это уравнение имеет решения t1=3 ч и t2=-1,25 ч. Но так как t>0, то t=3 ч. Тогда t+2=5 ч. ответ: 3 ч и 5 ч.   
4,7(82 оценок)
Ответ:
kopatirina94
kopatirina94
18.05.2022
1. Если прогрессия является геометрической, она удовлетворяет условию q=b2/b1=b3/b2 и т.д. или bn=b1*q^n-1
1) q=2/1=4/2=8/4=2 bn=q^n-1
2) q=9/-27=-3/9=1/-3=-1/3
bn=-27q^n-1=-27*(-1/3)^n-1
3) q=6/2=18/6=54/18=3
bn=2*3^n-1
4) q=-8/2=16/-8 не равно, данная последовательность не является геометрической
ответ: 1,2,3 последовательности являются геометрическими прогрессиями
2. bn=1,5*2^n-1
n>0 n-целое, натуральное число
Необходимо проверить все варианты:
1,5*2^n-1=4,5
2^n-1=3
Ни при каких значениях n не будет удовлетворяться данное выражение, т.о. 4,5 не является членом данной прогрессии.
1,5*2^n-1=6
2^n-1=4
2^n-1=2^2
n-1=2
n=3
6 является 3 членом данной геометрической прогрессии.
1,5*2^n-1=15
2^n-1=10
Ни при каких значениях n не будет удовлетворяться данное выражение, т.о. 15 не является членом данной прогрессии.
4,7(97 оценок)
Новые ответы от MOGZ: Алгебра
logo
Вход Регистрация
Что ты хочешь узнать?
Спроси Mozg
Открыть лучший ответ