М
Молодежь
К
Компьютеры-и-электроника
Д
Дом-и-сад
С
Стиль-и-уход-за-собой
П
Праздники-и-традиции
Т
Транспорт
П
Путешествия
С
Семейная-жизнь
Ф
Философия-и-религия
Б
Без категории
М
Мир-работы
Х
Хобби-и-рукоделие
И
Искусство-и-развлечения
В
Взаимоотношения
З
Здоровье
К
Кулинария-и-гостеприимство
Ф
Финансы-и-бизнес
П
Питомцы-и-животные
О
Образование
О
Образование-и-коммуникации
djam111
djam111
25.12.2021 21:25 •  Алгебра

Найдите область определения функции y=log5(x^2+9x+20). заранее !

👇
Ответ:
Severelinka
Severelinka
25.12.2021
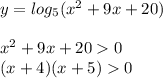
y=log_{5}(x^2+9x+20)\\\\x^2+9x+200\\(x+4)(x+5)0

           +                          -                                   +
____________-5______________-4____________

x\in (-\infty;-5)\cup(-4;+\infty)\\\\D(y)= (-\infty;-5)\cup(-4;+\infty)
4,5(24 оценок)
Открыть все ответы
Ответ:
JessyMurMur
JessyMurMur
25.12.2021
С развитием рыночных отношений в Англии, ставшей на буржуазный путь раньше других европейских государств, в этой стране возникла новая прослойка населения, названная историками «новым дворянством». Этот социальный феномен массово проявился только в Англии, поскольку именно она начала развивать в стране рыночные отношения и промышленность гораздо раньше, чем подобные тенденции получили распространение в странах Европы.
Что же такое «новое дворянство»? Как оно появилось и почему? В чём особенность положения этого социального прослойка?
Для того, чтобы понимать, как появилось «новое дворянство», необходимо знать особенности социально-экономической ситуации в Англии в XVI-XVII веках.
Начало разложения феодальных порядков под действием развития промышленности и рыночной экономики.
Раскол, самоликвидация крепостного права.
Обгораживание - крестьян вынуждали покинуть свои участки и превращали их в пастбища для овец, так как землевладельцы оценили преимущество текстильной промышленности перед сельским хозяйством.
Секуляризация церковных, монастырских земель.
4,4(53 оценок)
Ответ:
gazizkadyrzhan
gazizkadyrzhan
25.12.2021

Это история, а не алгебра и бало мало


Царь Иван Грозный родился в 1530 году. Ему было 3 года,когда умер его отец Васлий |||. В 1533 был объявлен главой Российского государства,но в силу своего малолетнего возраста,регентом принем выступала его мать Елена Глинская. Многих бояр это не устраивало ,и поэтому они были инициаторами заговоров против власти Елены Глинской. В этом принимали участие:Шуйские,Бельские,Глинские -боярские группировки. В виду этих массовых убийств и сопротивлений,уже с мамлолетнего возраста начал формироваться жесткий характер Ивана 4.

К тому же,не известна точная причина смерти его матери (возможно отравили,как это было актуально в то время)

В 1547 году Иван венчался на царство и уже с этого года становится единоличным правителем,опирающимся на Избранную раду.

Второй вопрос

Какой схемы

4,5(99 оценок)
Это интересно:
Новые ответы от MOGZ: Алгебра
logo
Вход Регистрация
Что ты хочешь узнать?
Спроси Mozg
Открыть лучший ответ