М
Молодежь
К
Компьютеры-и-электроника
Д
Дом-и-сад
С
Стиль-и-уход-за-собой
П
Праздники-и-традиции
Т
Транспорт
П
Путешествия
С
Семейная-жизнь
Ф
Философия-и-религия
Б
Без категории
М
Мир-работы
Х
Хобби-и-рукоделие
И
Искусство-и-развлечения
В
Взаимоотношения
З
Здоровье
К
Кулинария-и-гостеприимство
Ф
Финансы-и-бизнес
П
Питомцы-и-животные
О
Образование
О
Образование-и-коммуникации
nastyalunina22
nastyalunina22
16.08.2021 23:27 •  Алгебра

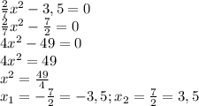
2/7x^2-3,5=0
решите уравнение

👇
Ответ:
1i1kuz
1i1kuz
16.08.2021

\frac{2}{7} x^{2} - 3,5 = 0\\\frac{2}{7}x^{2} - \frac{7}{2} = 0\\4x^{2} - 49 = 0\\4x^{2} = 49\\x^{2} =\frac{49}{4} \\x_{1} = -\frac{7}{2} = - 3,5; x_{2} = \frac{7}{2} = 3,5

4,8(56 оценок)
Открыть все ответы
Ответ:
SkeetNZ
SkeetNZ
16.08.2021
Например, 154 = 11*14
Сумма квадратов 1 + 25 + 16 = 42 - делится на 3, но не делится на 9.
Или 847 = 11*77
8^2 + 4^2 + 7^2 = 64 + 16 + 49 = 129 - делится на 3, но не делится на 9.
Нашел простым подбором, это было нетрудно.
А вот найти все решения через решение уравнений - трудно.
Если число 100a + 10b + c, то должна выполняться одна из систем:
{ a + c = b
{ a^2 + b^2 + c^2 = 9k + 3
ИЛИ
{ a + c = b
{ a^2 + b^2 + c^2 = 9k + 6
ИЛИ
{ a + c = 11 + b
{ a^2 + b^2 + c^2 = 9k + 3
ИЛИ
{ a + c = 11 + b
{ a^2 + b^2 + c^2 = 9k + 6
4,4(69 оценок)
Ответ:
def04565
def04565
16.08.2021
Например, 154 = 11*14
Сумма квадратов 1 + 25 + 16 = 42 - делится на 3, но не делится на 9.
Или 847 = 11*77
8^2 + 4^2 + 7^2 = 64 + 16 + 49 = 129 - делится на 3, но не делится на 9.
Нашел простым подбором, это было нетрудно.
А вот найти все решения через решение уравнений - трудно.
Если число 100a + 10b + c, то должна выполняться одна из систем:
{ a + c = b
{ a^2 + b^2 + c^2 = 9k + 3
ИЛИ
{ a + c = b
{ a^2 + b^2 + c^2 = 9k + 6
ИЛИ
{ a + c = 11 + b
{ a^2 + b^2 + c^2 = 9k + 3
ИЛИ
{ a + c = 11 + b
{ a^2 + b^2 + c^2 = 9k + 6
4,6(98 оценок)
Это интересно:
Новые ответы от MOGZ: Алгебра
logo
Вход Регистрация
Что ты хочешь узнать?
Спроси Mozg
Открыть лучший ответ