М
Молодежь
К
Компьютеры-и-электроника
Д
Дом-и-сад
С
Стиль-и-уход-за-собой
П
Праздники-и-традиции
Т
Транспорт
П
Путешествия
С
Семейная-жизнь
Ф
Философия-и-религия
Б
Без категории
М
Мир-работы
Х
Хобби-и-рукоделие
И
Искусство-и-развлечения
В
Взаимоотношения
З
Здоровье
К
Кулинария-и-гостеприимство
Ф
Финансы-и-бизнес
П
Питомцы-и-животные
О
Образование
О
Образование-и-коммуникации
МсПолинэ
МсПолинэ
10.06.2022 11:12 •  Алгебра

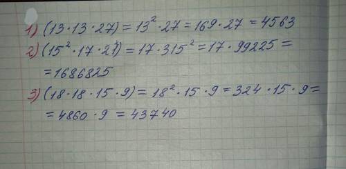
Найти тау (13×13×27)
найти тау (15²×17×21²)
найти сигма (18×18×15×9)

👇
Ответ:
shamilvip66
shamilvip66
10.06.2022

1


Найти тау (13×13×27)найти тау (15²×17×21²)найти сигма (18×18×15×9)
4,8(63 оценок)
Открыть все ответы
Ответ:
Магомед05111
Магомед05111
10.06.2022
Точка x0 называется точкой максимума функции f(x), если существует такая окрестность точки x0, что для всех x ≠ x0 из этой окрестности выполняется неравенство f(x)< f(x0).Точка x0 называется точкой минимума функции f(x), если существует такая окрестность точки x0, что для всех x ≠ x0 из этой окрестности выполняется неравенство f(x)> f(x0).Точки минимума и точки максимума называются точками экстремума.Теорема. Если x0 – точка экстремума дифференцируемой функции f(x), то f ′(x0) =0.Точки, в которых функция имеет производную, равную нулю, или недифференцируема (не имеет производной), называют критическими точками. Точки, в которых производная равна 0, называют стационарными.Геометрический смысл: касательная к графику функции y=f(x) в экстремальной точке параллельна оси абсцисс (OX), и поэтому ее угловой коэффициент равен 0 ( k = tg α = 0).Теорема: Пусть функция f(x) дифференцируема на интервале (a;b), x0 С (a;b), и f ′(x0) =0. Тогда:1) Если при переходе через стационарную точку x0 функции f(x) ее производная меняет знак с «плюса» на «минус», то x0 – точка максимума.2) Если при переходе через стационарную точку x0 функции f(x) ее производная меняет знак с «минуса» на «плюс» , то x0 – точка минимума. ПРАВИЛО нахождения наибольшего и наименьшего значения функции f(x)                                          на отрезке [a;b]. 1. Найти призводную функции и приравнять нулю. Найти критические точки.2. Найти значения функции на концах отрезка, т.е. числа f(a) и f(b).3. Найти значения функции в тех критических точках, которые принадлежат [a;b].4. Из найденных значений выбрать наибольшее и наименьшее.  ПРАВИЛО нахождения минимума и максимума функции f(x)                                          на интервале (a;b).1. Найти критические точки f(x) (в которых f ′(x)=0 или f(x) не существует) .2. Нанести их на числовую прямую (только те, которые принадлежат (a,b) ).f ′(x)                +                       –                        +
                 a x0x1 bf (x)                   /                       \                        /3. Расставить знаки производной в строке f ′(x) , расставить стрелки в строке f(x).4. x max = x0,           x min = x1.5. y max = y(x0),       y min = y(x1).
4,4(88 оценок)
Ответ:
Kiss1009
Kiss1009
10.06.2022
Логарифм единицы.loga1=0         Логарифм единицы равен нулю ( а>0, a≠1).Примеры. Вычислить:1) log71=0,                                2) lg1=0,                                     3) ln1=0,так как  70=1.                            так как 100=1.                             так как е0=1.4) 52log51=52∙0=50=1.            5) 43lg1=43∙0=40=1.          6) 85ln1=85∙0=80=1. e3+5lg1=e3+5∙0=e3. 106ln1-2=106∙0-2=10-2=0,01. 35lg1+4=35∙0+4=34=81.Решить уравнение.1) log2(x+4)=log81;                        2) log3(x-1)+5log181=log12(5∙0,2);log2(x+4)=0;                                         log3(x-1)+5∙0=log121;x+4=20;                                                log3(x-1)=0;x+4=1;                                                  x-1=30;x=1-4;                                                   x-1=1;x=-3.                                                     x=2.3) lg (2x+1) -7log21=ln1;lg (2x+1) -7∙0=0;lg (2x+1)=0;2x+1=100;2x+1=1;2x=0;x=0.11.4.4. Натуральный логарифмЛогарифм по основанию е (Неперово число е≈2,7) называют натуральным логарифмом.ln7=loge7,          ln7 – натуральный логарифм числа 7.Примеры.Вычислить, используя определение логарифма.1) lne².  По определению натуральный логарифм числа e² — это показатель степени, в которую нужно возвести число е, чтобы получить число е². Очевидно, что это число 2. lne²=2.2) ln (1/e). По определению натуральный логарифм числа 1/е — это показатель степени, в которую нужно возвести число е, чтобы получить 1/е. Очевидно, что это число -1, так как е-1=1/е.ln (1/e)=-1.3) lne3+lne4=3+4=7.4) lne-ln (1/e2)=1- (-2)=1+2=3.Вычислить, применив основное логарифмическое тождество: и формулу возведения степени в степень: (am)n=amn=(an)m .1)    eln24=24.2)    e2ln11=(eln11)2=112=121.3)    e-ln20=(eln20)-1=20-1=1/20=0,05.4)    (e4)ln5=(eln5)4=54=625.Упростить, применив основное логарифмическое тождество: формулу возведения степени в степень: (am)n=amn=(an)m ;формулу произведения степеней с одинаковыми основаниями:  am∙an=am+n и формулу возведения в степень произведения: (a∙b)n=an∙bn.1)    eln4+2=eln4∙e2=4∙e2=4e2.2)    e1+ln3=e1∙eln3=e∙3=3e.3)    (e4+ln5)2=(e4∙eln5)2=(e4∙5)2=e4∙2∙52=e8∙25=25e8.4)    (eln2+3)4=(eln2∙e3)4=(2∙e3)4=24∙e3∙4=16e12.Упростить, применив основное логарифмическое тождество:  формулу возведения степени в степень: (am)n=amn=(an)m ; формулу частного степеней с одинаковыми основаниями:  am:an=am-n  и формулу возведения в степень произведения: (a∙b)n=an∙bn.1)    e2-ln3=e2:eln3=e2:3=e2/3.2)    e1-ln5=e1:eln5=e:5=e/5=0,2e.3)    (e5-ln10)3=(e5:eln10)3=(e5:10)3=(0,1e5)3=0,13∙e5∙3=0,001e15.4)    (e3-ln2)4=(e3:eln2)4=(e3:2)4=(0,5e3)4=(0,5)4∙(e3)4=0,0625e12. 11.4.3. Десятичный логарифмЛогарифм по основанию 10 называют десятичным логарифмом и при написании опускают основание 10 и букву «о» в написании слова «log».lg7=log107,        lg7 – десятичный логарифм числа 7.Примеры. Вычислить:lg10; lg100; lg1000; lg0,1; lg0,01; lg0,001.1)    lg10=1,  так как 101=10.2)    lg100=2, так как102=100.3)    lg1000=3, так как 103=1000.4)    lg0,1=-1, так как 10-1=1/10=0,1.5)    lg0,01=-2, так как 10-2=1/102=1/100=0,01.6)    lg0,001=-3, так как 10-3=1/103=1/1000=0,001.Найти значение выражения: 10lg8;  10lg4+10lg3,5;  105lg2;  100lg3;  10lg5+2;  10lg60-1.Используем:основное логарифмическое тождество:(см. предыдущий урок 11.4.2. «Примеры на основное логарифмическое тождество»здесь)формулу произведения степеней с одинаковыми основаниями: am∙an=am+n,формулу частного степеней с одинаковыми основаниями: am:an=am— n1)    10lg8=82)    10lg4+10lg3,5=4+3,5=7,5.3)    105lg2=(10lg2)5=25=32.4)    100lg3=(102)lg3=(10lg3)2=32=9.5)    10lg5+2=10lg5∙102=5∙100=500.6)    10lg60-1=10lg60:101=60:10=6.Решить уравнение.1)    lgx=10lg30-1.Упростим правую часть равенства как в предыдущих примерах.lgx=10lg30:101;lgx=30:10;lgx=3;x=103;x=1000.2)    lg (x+3)=2.x+3=102;x+3=100;x=100-3;x=97.3)    lg (x+5)=-1.x+5=10-1;x+5=0,1;x=0,1-5;x=-4,9.11.4.2. Примеры на основное логарифмическое тождество Это основное логарифмическое тождество.Это тождество следует из определения логарифма: так как логарифм – это показатель степени (n), то, возводя в эту степень число а, получим число b.Примеры.Вычислить:  При решении  используем формулу возведения степени в степень: (am)n=amn=(an)m  и основное логарифмическое тождество.Найти значение выражения:  Используем формулу произведения степеней с одинаковыми основаниями: am∙an=am+n и основное логарифмическое тождество.Найти значение выражения:Используем формулу частного степеней с одинаковыми основаниями: am:an=am— nи основное логарифмическое тождество.11.4.1. Определение логарифмаЛогарифмом числа b по основанию а (logab)  называют показатель степени, в которую нужно  возвести число а, чтобы получить число b.logab=n, если an=b. Примеры: 1) log28=3, т. к. 23=8;2) log5(1/25)=-2, т. к. 5-2=1/52=1/25;                         3) log71=0, т. к. 70=1. Вычислить:1)    log464+log525.  Используем значения степеней: 43=64, 52=25 и определение логарифма.log464+log525=3+2=5.2)    log2log381.        Используем значения степеней: 34=81, 22=4 и определение логарифма.log2log381=log24=2.3)    log5log9log2512.    Используем значения степеней: 29=512, 50=1 и определение логарифма.log5log9log2512=log5log99=log51=0.Решить уравнение.1)    log7x=2.          По определению логарифма составим равенство: x=72, отсюда х=49.2)    log3(x-5)=2.По определению логарифма:х-5=32;х-5=9;х=9+5;х=14.3)    |log6(x+4)|=2.Освободимся от знака модуля.или  log6(x+4) =2;x+4=62;x+4=36;x=36-4;x=32.
4,4(31 оценок)
Это интересно:
Новые ответы от MOGZ: Алгебра
logo
Вход Регистрация
Что ты хочешь узнать?
Спроси Mozg
Открыть лучший ответ