М
Молодежь
К
Компьютеры-и-электроника
Д
Дом-и-сад
С
Стиль-и-уход-за-собой
П
Праздники-и-традиции
Т
Транспорт
П
Путешествия
С
Семейная-жизнь
Ф
Философия-и-религия
Б
Без категории
М
Мир-работы
Х
Хобби-и-рукоделие
И
Искусство-и-развлечения
В
Взаимоотношения
З
Здоровье
К
Кулинария-и-гостеприимство
Ф
Финансы-и-бизнес
П
Питомцы-и-животные
О
Образование
О
Образование-и-коммуникации
tanushkako
tanushkako
31.05.2022 12:12 •  Алгебра

Реши подстановки систему уравнений


Реши подстановки систему уравнений

👇
Ответ:
Albert116
Albert116
31.05.2022

(10;9)

Объяснение:

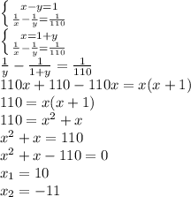
\left \{ {{x-y=1} \atop {\frac{1}{x}-\frac{1}{y} =\frac{1}{110} }} \right. \\\left \{ {{x=1+y} \atop {\frac{1}{x}-\frac{1}{y} =\frac{1}{110} }} \right.\\\frac{1}{y}-\frac{1}{1+y} =\frac{1}{110}\\110x+110-110x=x(x+1)\\110=x(x+1)\\110=x^{2} +x\\x^{2} +x=110\\x^{2} +x-110=0\\x_{1} =10\\x_{2}=-11

Если х₁=10, то y₁=9

Если x₂=-11, то y₂=-12

В ответе нужно записать только положительные значения, поэтому в ответе записываем: (10;9)

4,6(79 оценок)
Открыть все ответы
Ответ:
Qweyudbdbf
Qweyudbdbf
31.05.2022
V (собств) моторной лодки = 10 км/ч
V течения реки = х км/ч, что есть 20% от V (собств.) моторной лодки

Составляем пропорцию:

10 км/ч - 100%
 х  км/ч - 20%

х = 20 * 10 / 100 = 2 км/ч - скорость течения реки

Тогда, скорость моторной лодки составит:

По течению реки:       10 + 2 = 12 км/ч 
Против течения реки: 10 - 2 =  8  км/ч

Во сколько раз скорость моторной лодки по течению больше ее скорости против течения?

12 : 8 = 1,5 раза

Сколько процентов составляет скорость моторной лодки против течения от скорости моторной лодки по течению?

12 км/ч - 100%
  8 км/ч - х %

х = 8 * 100 : 12 ≈ 66, 7 %
4,4(17 оценок)
Ответ:
LuiZa87
LuiZa87
31.05.2022
Пусть событие А – появление черного шара, а A⁻  - противоположное событие. 
Вероятность того, что первый наудачу взятый шар будет чёрным
P(A)=5/8 
Вероятность того, что второй наудачу взятый шар будет чёрным 
P(A⁻ * A)= P(A⁻)*P(A)=(3/8)*(5/7)=15/56
Вероятность того, что третий наудачу взятый шар будет чёрным 
P(A⁻ *A⁻ * A)= P(A⁻)*P(A⁻)*P(A)=(3/8)*(2/7)*(5/6)=5/56

Вероятность того, что испытание закончится после извлечения третьего шара P(A⁻ *A⁻ * A)=5/56
Вероятность того, что потребуется извлечь не больше трех шаров
P(A)+P(A⁻ * A)+P(A⁻ *A⁻ * A)=5/8 + 15/56 + 5/56=55/56

Удачи в решении заданий!
4,6(88 оценок)
Это интересно:
logo
Вход Регистрация
Что ты хочешь узнать?
Спроси Mozg
Открыть лучший ответ