
за 4 часа наполнит бассейн 1-я труба
Объяснение:
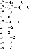
2 ч 24 мин=(2+24:60) ч=2,4 ч
х ч - время, за которое наполняет бассейн 1-я труба
(х+2) ч - время, за которое наполняет бассейн 2-я труба
1/х часть бассейна, которая наполняет 1-я труба бассейн за 1 час
1/(х+2) часть бассейна, которая наполняет 2-я труба бассейн за 1 час
1/х+1/(х+2)=(2х+2)/(х*(х+2)) часть бассейн, которую наполняют обе трубы
1:((2х+2)/(х*(х+2)) время, за которое наполнят бассейн обе трубы
х(х+2)/(2х+2)=2,4
х²+2х=2,4(2х+2)
х²+2х-4,8х-4,8=0
х²-2,8х-4,8=0
D=2,8²+4*4,8=5.2²
x₁=(2,8-5,2)/2=-1,2<0 не подходит
x₂=(2,8+5,2)/2=4 часа наполняет бассейн 1-я труба
* * * * * * * * * * * * * * * * * * * * *
При каком значении параметра a уравнение имеет ровно 2 различных решения: (x + 4/x)² + (a - 4)(x + 4/x) - 2a²+a +3 =0
ответ: a ∈ ( - 5 ; - 0,5 ) ∪ (3 ; 3,5 ).
Объяснение: Частный случай (для двух неотрицательных чисел) неравенства Коши: (a+b)/2 ≥ √ab . || сред. арифм. ≥ ср. геом. ||
Поэтому: x + 4/x ≥ 4 ,если x >0 или x + 4/x ≤ - 4 ,если x < 0 .
* * * если x < 0: ( (-x) + ( -4/x) ) ≥ √( ( -x)*(-4/x) ) = 2 ⇔ x + 4/x ≤ - 4 * * *
* * * x + 4/x ∉ ( - 4 ; 4 ) * * *
(x + 4/x)² - (4 -a)(x + 4/x) - 2a²+a +3 =0
Это уравнение квадратное относительно x + 4/x ; после замена ( для удобства ) x + 4/x = t , t ∉ ( - 4 ; 4 ) получаем :
t² - (4 - a)t -2a²+a +3 =0 ,
D =(4-a)²-4(-2a²+a +3)=16 -8a +a²+8a²-4a -12 =9a²-12a+4 =(3a -2)² ≥ 0
t₁= (4-a+3a -2)/2 =a+1
t₂ =(4-a -3a +2)/2 =3 -2a.
Если D = 3a -2 = 0 ⇔ a = 2/3 ⇒ t₁ =t₂ = 5/3 ∈ ( - 4; 4 ) → исходное
уравнение не имеет корней .
Исходное уравнение будет имеет ровно 2 различных решения
Система неравенств ( пишу в одной строке, разделены запятой )
а) { a+1 > 4 ; - 4 < 3 -2a < 4 .
⇔ { a > 3 ; - 4 < 2a -3 < 4.⇔ {a > 3 ; - 0,5 < a < 3,5. ⇔
⇒ a ∈ (3 ; 3,5 ).
(3)
( - 0,5)(3,5)
б) { 3 -2a > 4 ; - 4 < a+1 < 4 .
⇔{ 2a - 3 < - 4 ; -4 - 1 < a < 4 -1 .⇔ { a< -0,5 ; -5 < a < 3.
⇒ a ∈ ( -5 ; -0,5 ).
( - 0.5)
( -5)(3)
* * * * * * * * * * * * * * * * * * * * *
в) { a+1 < - 4 ; - 4 < 3 -2a < 4 .
⇔ { a+1 < - 4 ; - 4 < 2a -3 < 4 . ⇔ { a+1 < - 4 ; 1 < 2a+2< 9. ⇒a ∉∅.
{ a+1 < - 4 ; 0,5 < a+1 < 4,5 . ⇒ a ∉∅.
г) { 3 -2a < - 4 ; - 4 < a+1 < 4 .
⇔{ 2a-3 > 4 ; -4 -1 < a < 4 -1 .⇔{ a> 3,5 ; -5 < a < 3 . ⇒a ∉∅