 
                                                 
                                                И.п.- любая нация, дальнейшее развитие, детское произведение, национальный музей.
Р.п-[нет]-любой нации, дальнейшего развития, детского произведения, национального музея. Д.п.-[дать] любой нации, дальнейшему развитию, детскому произведению, национальному музею. В.п.-[вижу] любую нацию, дальнейшее развитие, детское произведение, национальный музей. Т.п.-[любуюсь] любой нацией, дальнейшим развитием, детским произведением, национальным музеем. П.п-[говорили] о любой нации, о дальнейшем развитии, о детском произведении. Любая нация может гордиться тем образованием,которое получают дети. Его детские произведения, пронизанные духом бунтарства и буйной фантазией автора, просто обожают юные читатели. На страницах газет и журналов всё чаще высказывались мысли о создании национального музея истории и искусства, место которому закономерно отводилось в столице.
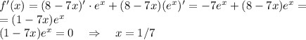
Объяснение:
 
                                                 
                                                 
                                                 
                                                 
                                                 
                                                
В точке x=1/7 производная меняет знак с плюса на минус, точка максимума.
Других экстремумов нет.