М
Молодежь
К
Компьютеры-и-электроника
Д
Дом-и-сад
С
Стиль-и-уход-за-собой
П
Праздники-и-традиции
Т
Транспорт
П
Путешествия
С
Семейная-жизнь
Ф
Философия-и-религия
Б
Без категории
М
Мир-работы
Х
Хобби-и-рукоделие
И
Искусство-и-развлечения
В
Взаимоотношения
З
Здоровье
К
Кулинария-и-гостеприимство
Ф
Финансы-и-бизнес
П
Питомцы-и-животные
О
Образование
О
Образование-и-коммуникации
KalinaNatalia
KalinaNatalia
12.05.2021 23:51 •  Алгебра

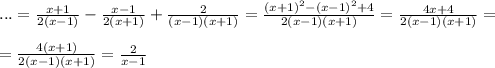
Найти значение выражения: x+1/2x-2 - x-1/2x+2 - 2/1-x в квадрате

👇
Ответ:
...=\frac{x+1}{2(x-1)}-\frac{x-1}{2(x+1)}+\frac{2}{(x-1)(x+1)}=\frac{(x+1)^2-(x-1)^2+4}{2(x-1)(x+1)}=\frac{4x+4}{2(x-1)(x+1)}=\\\\=\frac{4(x+1)}{2(x-1)(x+1)}=\frac{2}{x-1}
4,5(17 оценок)
Открыть все ответы
Ответ:
kiraueus
kiraueus
12.05.2021
Из пункта M в пункт N, расстояние между которыми равно 18 км, вышли одновременно два туриста. Один из них прибыл в пункт N на 54 мин позже, чем другой. Найдите скорость каждого туриста, если известно, что скорость одного из них на 1 км/ч меньше, чем скорость другого.
скорость одного х, другого (х-1)

18/(х-1 )    -       18/х  = 54/60

18х - 18х+18 -0,9х(х-1)=0

-0,9х²+0,9х +18=0 разделим каждый член на (-0,9)

х²-х-20=0

Д=81

х=5 и х=-4 это по смыслу не подходит

ответ:5 км/ч первого туриста, (5-1)=4 км,ч другого туриста
4,4(90 оценок)
Ответ:
лёша2002z
лёша2002z
12.05.2021
AxC280-xB
1-й                                          2-й

C-точка встречи
AC=x
CB=280-x
T1=1ч30мин=3/2 ч
Т2=2ч40мин=2 +40/60=2 2/3=8/3
S=VT    V=S/T
V1=(280-x)/3/2=2(280-x)/3
V2=x/8/3=3x/8
и заметим что до встречи они проехали одинаковое время
AC/V1=CB/V2
x : 2(280-x)/3 = (280-x) : 3x/8
3x/2(280-x)=8(280-x)/3x
9x²=16(280-x)²
так как все везде положительное то не будем делвть сложных возведений в степень ( хотите сделайте) а вместо этого возьмем корень слева справа
3x=4(280-x)
3x=4*280-4x
7x=4*4*70
x=160 встретились на расстояние от А
V2=3*160.8=60 км ч
V1=2*120/3=80 км ч
T=280/(60+80)=2 часа

Немного нетривиальная задача Немного повозится надо
ПЕрвое что они ехали одно и тоже время до встречи и аккуратно расписать все скорости и времена
4,5(2 оценок)
Новые ответы от MOGZ: Алгебра
logo
Вход Регистрация
Что ты хочешь узнать?
Спроси Mozg
Открыть лучший ответ