


x+9/7 - x/2 = 2 Чтобы решить это уравнение мы должны обе части уравнения умножить на 14 (напишу в подобном виде) :
14(x+9/7 - x/2) = 14*2
14*x+9/7 - 14 * x/2 = 28 Теперь сократим числа на 7: ( наибольший общий делитель )
2(x+9) - 14 * x/2 = 28 Теперь сократим числа на 2: ( наибольший общий делитель )
2(x+9)-7x=28 ( конец решения умножение на 14 ) Теперь раскроем скобки:
2x+18-7x=28 Вычтим x (подобные члены) (т.е. (2-7)x= -5x)
-5x+18=28 Переносим 18 в правую часть и меняем знак на против. :
-5x=28 -18 Вычитаем :
-5x=10 Делим :
x= - 2
ответ : - 2
Эти выражения не будут иметь смысла при тех значениях переменной , при которых знаменатель обращается в ноль .
1) x -2 = 0
x = 2
При x = 2 выражение не имеет смысла
2)
b² + 7 > 0 при любых значениях b , и никогда не обращается в ноль.
Значит это выражение имеет смысл при любых значениях b .
3)
y₁ = 0 y - 3 = 0
y₂ = 3
При y = 0 и y = 3 выражение не имеет смысла
4) a(a - 1) = 0
a₁ = 0 a - 1 = 0
a₂ = 1
При a = 0 и a = 1 выражение не имеет смысла
5)
2 - y = 0 3y - 3 = 0
y₁ = 2 y₂ = 1
При y = 2 и y = 1 выражение не имеет смысла
6)
3c = 0 2c - 3 = 0
c₁ = 0 c₂ = 1,5
При c = 0 и c = 1,5 выражение не имеет смысла
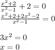
(x²+2)/(x²-1)<-2
(x²+2)/(x²-1)+2<0
(x²+2+2x²-2)/(x²-1)<0
3x²/(x-1)(x+1)<0
x=0 x=1 x=-1
+ _ _ +
------------------------------------------------------------
-1 0 1
x∈(-1;0) U (0;1)