М
Молодежь
К
Компьютеры-и-электроника
Д
Дом-и-сад
С
Стиль-и-уход-за-собой
П
Праздники-и-традиции
Т
Транспорт
П
Путешествия
С
Семейная-жизнь
Ф
Философия-и-религия
Б
Без категории
М
Мир-работы
Х
Хобби-и-рукоделие
И
Искусство-и-развлечения
В
Взаимоотношения
З
Здоровье
К
Кулинария-и-гостеприимство
Ф
Финансы-и-бизнес
П
Питомцы-и-животные
О
Образование
О
Образование-и-коммуникации
Настіяа
Настіяа
03.01.2021 18:12 •  Алгебра

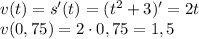
Закон движения точки по прямой задаётся формулой s(t)=t^2+3, где t время (в секундах), s(t)-точки в момент времени t (в метрах) от начального положения. найдите мгновенную скорость движения точки в момент времени t, если t=0, 75 с . ответ должен быть 1,5 м/с.

👇
Ответ:
Cfynks
Cfynks
03.01.2021
v(t)=s'(t)=(t^2+3)'=2t\\v(0,75)=2\cdot 0,75=1,5
4,4(80 оценок)
Открыть все ответы
Ответ:
anast0101
anast0101
03.01.2021
X^2(2-x)=3x(2-x), x^2=3x, x^2-3x=0, x=0 или x-3=0 x=3.                                                                                                                                             удачи! : 3
4,5(98 оценок)
Ответ:
kisuli1
kisuli1
03.01.2021

Відповідь:

1. Начинать закаливающие процедуры необходимо только когда человек полностью здоров.

2. Обязательно соблюдать принцип постепенности. В начале применения закаливающих процедур у организма возникает определенная ответная реакция со стороны дыхательной, сердечно- сосудистой и центральной нервной систем. По мере неоднократного повторения этой процедуры реакция на нее организма постепенно ослабевает, а дальнейшее ее использование уже не оказывает закаливающего эффекта. Тогда надо изменить силу и длительность воздействия закаливающих процедур на организм.

3. Очень важно проводить закаливающие процедуры регулярно и без больших перерывов. Следует помнить, что проведение закаливающих процедур в течение 2-3 месяцев, а затем их прекращение приводит к тому, что закаленность организма исчезает через 3-4 недели, а у детей через 5-7 дней. В случае появления признаков заболевания закаливание временно прекращают, после выздоровления следует возобновить его с начального периода.

Пояснення:

1. Начинать закаливающие процедуры необходимо только когда человек полностью здоров.

2. Обязательно соблюдать принцип постепенности. В начале применения закаливающих процедур у организма возникает определенная ответная реакция со стороны дыхательной, сердечно- сосудистой и центральной нервной систем. По мере неоднократного повторения этой процедуры реакция на нее организма постепенно ослабевает, а дальнейшее ее использование уже не оказывает закаливающего эффекта. Тогда надо изменить силу и длительность воздействия закаливающих процедур на организм.

3. Очень важно проводить закаливающие процедуры регулярно и без больших перерывов. Следует помнить, что проведение закаливающих процедур в течение 2-3 месяцев, а затем их прекращение приводит к тому, что закаленность организма исчезает через 3-4 недели, а у детей через 5-7 дней. В случае появления признаков заболевания закаливание временно прекращают, после выздоровления следует возобновить его с начального периода.

4,8(76 оценок)
Это интересно:
logo
Вход Регистрация
Что ты хочешь узнать?
Спроси Mozg
Открыть лучший ответ