М
Молодежь
К
Компьютеры-и-электроника
Д
Дом-и-сад
С
Стиль-и-уход-за-собой
П
Праздники-и-традиции
Т
Транспорт
П
Путешествия
С
Семейная-жизнь
Ф
Философия-и-религия
Б
Без категории
М
Мир-работы
Х
Хобби-и-рукоделие
И
Искусство-и-развлечения
В
Взаимоотношения
З
Здоровье
К
Кулинария-и-гостеприимство
Ф
Финансы-и-бизнес
П
Питомцы-и-животные
О
Образование
О
Образование-и-коммуникации
leimaegirl
leimaegirl
02.08.2020 06:12 •  Алгебра

Корень x-2 + корень x+6=4 решить! надо!

👇
Ответ:
vikulka1488
vikulka1488
02.08.2020

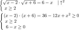
\displaystyle \sqrt{x-2} +\sqrt{x+6} =4\quad |\uparrow ^2\\ \\ \begin{Bmatrix}x-2+2\cdot \sqrt{x-2} \cdot \sqrt{x+6} +x+6=16\\ x-2\ge 0\qquad \qquad \qquad \qquad \qquad \qquad \quad \\ x+6 \ge 0\qquad \qquad \qquad \qquad \qquad \qquad \quad \end{matrix}

\displaystyle \begin{Bmatrix}\sqrt{x-2} \cdot \sqrt{x+6} =6-x\quad |\uparrow ^2\\ x\ge 2\qquad \qquad \qquad \qquad \qquad \end{matrix} \\ \\ \begin{Bmatrix}(x-2)\cdot (x+6) =36-12x+x^2 \ge 0\\ x\ge 2\qquad \qquad \qquad \qquad \qquad \quad \qquad \\ 6-x\ge 0\qquad \qquad \qquad \qquad \qquad \quad \end{matrix}

\begin{Bmatrix}x^2 +4x-12=36-12x+x^2 \\ 2\le x\le 6\qquad \qquad \qquad \qquad \end{matrix} \\ \\ \begin{Bmatrix}16x=48\; \; \;\\ 2\le x\le 6\end{matrix} \\ \\ \begin{Bmatrix}x=3\qquad\\ 2\le x\le 6\end{matrix} \\ \\ x=3

ответ: x = 3.

4,5(83 оценок)
Открыть все ответы
Ответ:
senan53
senan53
02.08.2020

Имеем функцию:

y = (27 + 6 * x - x^2)^(1/2).

Для начала определим ОДЗ функции:

27 + 6 * x - x^2 > 0;

x^2 - 6 * x - 27 < 0;

D = 36 + 108 = 144;

x1 = (6 - 12)/2 = -3;

x2 = (6 + 12)/2 = 9;

(x + 3) * (x - 9) < 0;

-3 < x < 9 - ОДЗ.

Найдем производную функции:

y'= 1/2 * (27 + 6 * x - x^2)^(-1/2) * (6 - 2 * x).

Найдем критические точки:

6 - 2 * x = 0;

x = 3.

Если -3 < x < 3, то производная положительна (функция возрастает).

Если 3 < x < 9, то производная отрицательна (функция убывает).

x = 3 - точка максимума функции.

y(3) = (27 + 18 - 9)^(1/2) = 6.

4,6(29 оценок)
Ответ:
nastgoliakova
nastgoliakova
02.08.2020

Каждый человек может сделать для природы что-то хорошее, вопросы экологии не нужно обсуждать дома за чашкой чая - лучше заняться делом. Такое мнение высказал ТАСС известный и любимый публикой ведущий телепередачи "В мире животных" Николай Дроздов, который отмечает 20 июня свое 80-летие.

"Надо меньше времени тратить на то, чтобы обсуждать, как не так государство делает, не так заповедники работают <...> нужно делать то, что вокруг себя - столько возможностей сделать больше "в своем доме" - во дворе, в районе, в городе", - сказал Дроздов. По его мнению, следить за экологией нужно как у себя дома, так и в поездках - не мусорить, экономить воду и энергию.

Юбиляр уверен: каждый может начать следить за экологией, улучшив мир вокруг себя. "Где ты работаешь, где бываешь, где отдыхаешь, где ты можешь руками достать и товарищей уговорить сделать так, как по-хорошему. Вот вокруг себя надо какие-то агитации проводить с пользой охраны природы, а вот сидеть вечером за чашкой чая, а то еще и за рюмкой, мусолить, как плохо охраняется там-то и там-то. <...> В остальных всегда можно найти какие-то недостатки", - считает Дроздов. Он уверен, что вместо того, чтобы обсуждать других, лучше выйти на улицу и прибраться во дворе.

4,7(72 оценок)
Это интересно:
Новые ответы от MOGZ: Алгебра
logo
Вход Регистрация
Что ты хочешь узнать?
Спроси Mozg
Открыть лучший ответ