Вход
Регистрация
Спроси Mozg AI
М
Молодежь
К
Компьютеры-и-электроника
Д
Дом-и-сад
С
Стиль-и-уход-за-собой
П
Праздники-и-традиции
Т
Транспорт
П
Путешествия
С
Семейная-жизнь
Ф
Философия-и-религия
Б
Без категории
М
Мир-работы
Х
Хобби-и-рукоделие
И
Искусство-и-развлечения
В
Взаимоотношения
З
Здоровье
К
Кулинария-и-гостеприимство
Ф
Финансы-и-бизнес
П
Питомцы-и-животные
О
Образование
О
Образование-и-коммуникации
.....больше.....
..меньше..
никто273
03.11.2020 22:10 •
Алгебра
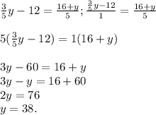
Найти корень данного уравнения 3/5*y-12=16+y/5
y=
( тупому человеку)
👇
Увидеть ответ
Ответ:
Blackstone111
03.11.2020
ответ: y = 38.
4,4
(27 оценок)
Ответ:
макашария
03.11.2020
38Пошаговое объяснение:
~•~•~•ZLOY_TIGROVSKIY~•~•~•
4,7
(9 оценок)
Открыть все ответы
Ответ:
Shersher8630166
03.11.2020
Основание меньше 1, поэтому меняем знак на противоположный:
x² - 3x - 1 = 0
D = 9 + 4 = 13
x₁ = (3 + √13)/2
x₂ = (3 - √13)/2
Нули числителя:
x = (3 - √13)/2; (3 + √13)/2;
Нули знаменателя:
x = 0
|||||||||||||||||||||| ||||||||||||||||||||||||||||||||||||||
-------[ (3 - √13)/2]-----------------(0)---------------------[(3 + √13)/2]--------------> x
- + - +
ответ: x ∈ [-∞; (3 - √13)/2; ] U (0; (3 + √13)/2].
4,8
(89 оценок)
Ответ:
EgorFolt2123121
03.11.2020
X² + xy = 12
xy - y² = 2 |·6
x² + xy = 12
6xy - 6y² = 12
Вычитаем из первого второе:
x² - 5xy + 6y² = 0 |:y²
x²/y² - 5x/y + 6 = 0
Пусть t = 5xy
t² - 5t + 6 = 0
t² - 2t - 3t + 6 = 0
t(t - 2) - 3(t - 2) = 0
(t - 3)(t - 2) = 0
t = 2; 3
Обратная замена:
1) x/y = 2
x² + xy = 12
x = 2y
x² + xy = 12
x = 2y
4y² + 2y² = 12
x = 2y
6y² = 12
x = 2y
y² = 2
x = 2√2
y = √2
или
x = -2√2
y = -√2
2) x/y = 3
x² + xy = 12
x = 3y
9y² + 3y² = 12
x = 3y
12y² = 12
x = 3y
y² = 1
x = 3
y = 1
или
x = -3
y = -1
ответ: (-3; -1), (-√2; -2√2), (√2; 2√2), (3; 1).
4,5
(99 оценок)
Это интересно:
О
Образование-и-коммуникации
12.02.2023
Как написать детское стихотворение...
П
Питомцы-и-животные
06.03.2020
Как чистить кормушку для колибри: советы и рекомендации...
З
Здоровье
07.12.2021
Повышенная утомляемость во время менструации: причины и способы борьбы...
К
Компьютеры-и-электроника
31.10.2020
Как быстро и легко поменять свою фотографию обложки на Facebook?...
С
Семейная-жизнь
29.03.2023
Как развивать в детях творческое начало...
К
Кулинария-и-гостеприимство
08.08.2020
Как варить рыбу: секреты приготовления вкусной и полезной блюда...
К
Кулинария-и-гостеприимство
18.10.2020
Как сделать пробку, проткнуть или разрезать корку арбуза...
К
Компьютеры-и-электроника
22.06.2021
Как легко управлять своими фотографиями с помощью программы Picasa...
П
Питомцы-и-животные
06.03.2021
Хотите развести улиток? Узнайте как...
С
Семейная-жизнь
29.04.2022
Как выявить ранние признаки беременности...
Новые ответы от MOGZ: Алгебра
karolsevilla384
14.05.2021
1) 2*|х|=0 2) 2•|х|=14 3) -|х|=777 4 |-х|= -777 5)|х|+14=10 6) 102+|х|=14 Зделайте очень нужно...
Ева11111111111111484
23.02.2020
Самостоятельная по алгебре 7 класс группировка...
annasummer12201
27.09.2021
Решите задачу с уравнения: Катер плыл 2,3 ч по течению и 3,5 ч против течения. Всего он проплыл 133,9 км. Найдите скорость течения, если собственная скорость катера 23,5 км/ч....
dariadamyak27
05.10.2020
можете обяснить как с микрокалькулятора найти приблеженное значения числа корень из 5 с точностью дл 0.01 по недостатку и по избытку ответ писать ненадо просто обясните как это...
svetaredkina
20.11.2022
Постройте график функции y=-6/x...
LadyDiana17
08.11.2020
кидають одночасно два кубики. яка ймовірність того що випадуть числа сума яких 10, дві 5, числа сума яких 12,та число добуток яких більший за 2...
Анютка1456
29.09.2022
За отличное решение поставлю лучшій ответ ....
tigr951
06.05.2023
ФУНКЦІЯ ОСОБЕННО ЗАДАЧУ И СЕДЬМОЕ 1 Виразіть змінну через змінну із рівняння 4+3 = 12. . Яка з наведених систем рівнянь не має розв’язків? А) ( + 3 = 8, (3 − 4 = 11 Б) (2 + 4...
п152
03.09.2021
F(x)=2/x-2ctg x+4sinx x0=2p/3...
zigzag19
11.12.2020
Знайте похідну функції f(x)= ...
MOGZ ответил
Определите значение m при котором векторы a и b будут перпендикулярны( или...
Народ это БЖБ помагите Нада решить полностью...
1) Списать предложения, подчеркнуть грамматические основы, указать, чем выражены,...
я вас мне через 1 час здавать это...
- Зачем А. Пушкин пишет повесть о «маленьком человеке»?...
Как решить: из числа 201 вычли неизвестное число, полученную разность уменьшили...
1. Проаналізувати проблему розвиваючого навчання у педагогічній психології....
1. Дана строка, длина которой N. Создайте программу, которая выводит символы...
Белые пятна в истории. Дополните текст необходимыми сведениямм...
. Задан правильный тетраэдр. Высота грани данного тетраэдра равна 4 корень...
Полный доступ к MOGZ
Живи умнее Безлимитный доступ к MOGZ
Оформи подписку
О НАС
О нас
Блог
Условия пользования
Авторское право
Политика конфиденциальности
Предпочтения cookie-файлов
ПОМОЩЬ
Зарегистрируйся
Центр помощи
Центр безопасности
App
Вход
Регистрация
Что ты хочешь узнать?
Спроси Mozg
Открыть лучший ответ
ответ: y = 38.