М
Молодежь
К
Компьютеры-и-электроника
Д
Дом-и-сад
С
Стиль-и-уход-за-собой
П
Праздники-и-традиции
Т
Транспорт
П
Путешествия
С
Семейная-жизнь
Ф
Философия-и-религия
Б
Без категории
М
Мир-работы
Х
Хобби-и-рукоделие
И
Искусство-и-развлечения
В
Взаимоотношения
З
Здоровье
К
Кулинария-и-гостеприимство
Ф
Финансы-и-бизнес
П
Питомцы-и-животные
О
Образование
О
Образование-и-коммуникации
Ilfar1234
Ilfar1234
30.06.2022 15:55 •  Алгебра

Вычислите площадь фигуры, ограниченной линиями y=x^2; y=2x если можно напишите на листочке

👇
Ответ:
Ксюша7970
Ксюша7970
30.06.2022
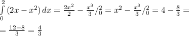
Вычислим определенный интеграл (см фото)
По формуле Ньютона-Лейбница 
\int\limits^2_0 {(2x-x^2)} \, dx = \frac{2x^2}{2} - \frac{x^3}{3}/^2_0=x^2- \frac{x^3}{3} /^2_0= 4- \frac{8}{3}= \\ \\ = \frac{12-8}{3} = \frac{4}{3}

Вычислите площадь фигуры, ограниченной линиями y=x^2; y=2x если можно напишите на листочке
4,6(36 оценок)
Открыть все ответы
Ответ:
markvT
markvT
30.06.2022
2 Сos² 2x  -1 +Cos 2x = 0
2 Cos² 2x -  Cos x -1 = 0
Решаем как квадратное
a) Cos 2x = 1                    б) Cos 2x = -1/2
2x = 2πk, где к ∈Z               2x = +- arc Cos (-1/2) +2π n , где n∈Z
х = π к, где к∈Z                  2x = +-2π/3 + 2πn, где n∈Z
                                            x = +- π/3 + πn,где n∈ Z 
Получили 2 группы корней. Будем искать корни, которые попадают в указанный промежуток
Разберёмся с указанным  отрезком на числовой прямой
-π       -π/2        0       π/3        
а) х = πк,где к ∈Z
k = -1
x = -π ( попадает в указанный отрезок)
к = 0
х = 0 ( попадает в указанный отрезок)
к = 1
к = 2
х = 2π( не попадает в указанный отрезок)
б) х = +- π/3 +πn,где n ∈Z
n = 0
x = +-π/3 (попадает в указанный отрезок)
n  = 1
х = π/3 + π( не попадает)
х= - π/3 +π ( не попадает)
n = -1
x = π/3 - π = -2π/3( попадает)
х = -π/3 -π(не попадает)
4,5(21 оценок)
Ответ:
VovanBah
VovanBah
30.06.2022
1)√(x - 2) = 4|²
x - 2 = 16
x = 18
Проверка: √(18 - 2) = 4 ( верное равенство)
ответ: х = 18
2) √(5 - х) = √(х - 2) /²
 5 - х = х - 2
2х = 7
х = 3,5
Проверка: √(5 - 3,5) = √(3,5 - 2) (верное равенство)
ответ: х = 3,5
3) √(х + 1) = 1 - х|²
x + 1 = 1 - 2x +x²
x²-3x = 0
x( x - 3) = 0
а) x = 0         или        б)  х - 3 =0
                                       х = 3
Проверка:
а)√( 0+1) = 1 - 0 (верное равенство)
б) √(3 + 1) = 1 - 3 ( неверное равенство)
ответ х = 0
4) √(3х +1) - √(х +8) = 1 |²
3x + 1 + 2√(3x + 1)( x +8) + x +8 = 1
2√((3x+1)(x + 8) = 1 - 3x -1 -x -8
2√(3x + 1)( x +8) = -8 -4x
√(3x +1)( x +8) = -4 -2x |²
(3x +1)( x + 8) = 16 +16 x +4x²
3x² +24 x +x +8 = 16 +16x +4x²
x²  - 9x  +8 = 0       по т. Виета
а) x = 8    или      б) х = 1
Проверка
а)√ 3·8 + 1)  - √(8 + 8) = 1 (верное равенство)
б) √(3·1 + 1) - √(1 + 8 ) = 1 ( неверное равенство)
ответ: х = 8
4,6(4 оценок)
Это интересно:
Новые ответы от MOGZ: Алгебра
logo
Вход Регистрация
Что ты хочешь узнать?
Спроси Mozg
Открыть лучший ответ