М
Молодежь
К
Компьютеры-и-электроника
Д
Дом-и-сад
С
Стиль-и-уход-за-собой
П
Праздники-и-традиции
Т
Транспорт
П
Путешествия
С
Семейная-жизнь
Ф
Философия-и-религия
Б
Без категории
М
Мир-работы
Х
Хобби-и-рукоделие
И
Искусство-и-развлечения
В
Взаимоотношения
З
Здоровье
К
Кулинария-и-гостеприимство
Ф
Финансы-и-бизнес
П
Питомцы-и-животные
О
Образование
О
Образование-и-коммуникации
sasacot
sasacot
08.10.2022 02:32 •  Алгебра

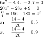
Разложите на множители квадратный трёхчлен 6x^2-8,4x+2,7

👇
Ответ:
morozovasanya
morozovasanya
08.10.2022
6x^2-8,4x+2,7=0 \\ 20x^2-28x+9=0 \\ \frac{D}{4}=196-180=4^2 \\ x_1= \dfrac{14-4}{20}=0,5 \\ x_2= \dfrac{14+4}{20}=0,9

По формуле ax^2+bx+c=a(x-x_1)(x-x_2)

6x^2-8,4x+2,7=6(x-0,5)(x-0,9)
4,5(38 оценок)
Открыть все ответы
Ответ:
sumanrahmatova
sumanrahmatova
08.10.2022
Слева нечетное число, так как при n>1 число будет делится на 2 , значит m так же нечетное.
Так как при 5!=720 , следует что при n>=5 число n! всегда будет оканчиваться на цифру ноль , в свою очередь это значит что при n>1 число будет оканчиваться на цифру 2 , то есть выражение 1!+2!+3!+...+n! будет оканчиваться на цифру 3 при n>=5 , но при этом m^2 не будет иметь число оканчивающуся на 3 , так как нет числа квадрат которого оканчивался бы на 3 , значит если есть решение то при n=1,2,3,4 проверяя подходит только n=3 , m=3 n=1, m=1
4,7(96 оценок)
Ответ:
cat0708200416
cat0708200416
08.10.2022
Третий закон Кеплера гласит - квадраты периодов обращения планет вокруг Солнца относятся, как кубы больших полуосей орбит планет.
Проверим закон Кеплера на планете Земля.
Принято, что расстояние от планета Земля до планеты Солнце равно 1 астрономическая единица (а. е.) и также считают, что Солнце - центр нашей планетарной системы, следовательно оно относительно нас недвижимо и формула (Тз/Тс)²=(Аз/Ас)³ превращается в формулу     (Тз/1)²=(Аз/1)³   ⇒  (Тз)²=(Аз)³   ⇒  Тз=√(Аз)³.
Так как на планете Земля  Аз (период вращения вокруг планеты Солнце) 1 а. е. ⇒   Тз=√1³=1, то есть ≈365 земных дней.
Теперь можно вычислить "звёздный период вращения планеты Марс" вокруг планеты Солнце:
Тм=√(1,5)³≈1,837 земного года≈1,837*365≈671 земной день.
4,6(55 оценок)
Новые ответы от MOGZ: Алгебра
logo
Вход Регистрация
Что ты хочешь узнать?
Спроси Mozg
Открыть лучший ответ