М
Молодежь
К
Компьютеры-и-электроника
Д
Дом-и-сад
С
Стиль-и-уход-за-собой
П
Праздники-и-традиции
Т
Транспорт
П
Путешествия
С
Семейная-жизнь
Ф
Философия-и-религия
Б
Без категории
М
Мир-работы
Х
Хобби-и-рукоделие
И
Искусство-и-развлечения
В
Взаимоотношения
З
Здоровье
К
Кулинария-и-гостеприимство
Ф
Финансы-и-бизнес
П
Питомцы-и-животные
О
Образование
О
Образование-и-коммуникации
aliksondrrr3
aliksondrrr3
29.01.2020 20:40 •  Алгебра

Решить уравнение -0.7x(0.6x +0.4)+0.3(0.6x+0.4)=0

👇
Ответ:
StasyaGolden
StasyaGolden
29.01.2020
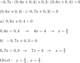
-0,7x\cdot (0,6x+0,4)+0,3\cdot (0,6x+0,4)=0\\\\(0,6x+0,4)\cdot (-0,7x+0,3)=0\\\\a)\; \; 0,6x+0,4=0\\\\0,6x=0,4\quad \to \quad 6x=4\; \; \; \to \; \; x=\frac{2}{3}\\\\b)\; \; -0,7x+0,3=0\\\\0,7x=0,3\; \; \to \; \; \; 7x=3\; \; \to \; \; \; x=\frac{3}{7}\\\\Otvet:\; \; x= \frac{2}{3}\; ,\; x=\frac{3}{7} \; .
4,6(93 оценок)
Открыть все ответы
Ответ:
aigerim341
aigerim341
29.01.2020

Всю работу примем за 1.
Пусть две бригады, работая вместе, выполнят работу за х дней. Тогда
за х+9 дней выполнит работу 1-я бригада, работая отдельно, а за х+4 дня - 2-я бригада.
1 (/х+9) - производительность труда 1-ой бригады, 1/(х+4) - произв. 2-ой бригады, 1/х - производительность двух бригад.
1/(х+9) + 1/(х+4) = 1/х, х больше 0.
Умножим обе части уравнения на общий знаменатель х(х+9)(х+4)
х^2 + 4x+x^2+9x-x^2 - 4x - 9x - 36 = 0
x^2 - 36 = 0
x=6 и x=-6
Т.к. х больше 0, то х=6
6+9=15. ответ: за 15 дней.

4,6(78 оценок)
Ответ:
neliakunik
neliakunik
29.01.2020

Всю работу примем за 1.
Пусть две бригады, работая вместе, выполнят работу за х дней. Тогда
за х+9 дней выполнит работу 1-я бригада, работая отдельно, а за х+4 дня - 2-я бригада.
1 (/х+9) - производительность труда 1-ой бригады, 1/(х+4) - произв. 2-ой бригады, 1/х - производительность двух бригад.
1/(х+9) + 1/(х+4) = 1/х, х больше 0.
Умножим обе части уравнения на общий знаменатель х(х+9)(х+4)
х^2 + 4x+x^2+9x-x^2 - 4x - 9x - 36 = 0
x^2 - 36 = 0
x=6 и x=-6
Т.к. х больше 0, то х=6
6+9=15. ответ: за 15 дней.

4,6(1 оценок)
Новые ответы от MOGZ: Алгебра
logo
Вход Регистрация
Что ты хочешь узнать?
Спроси Mozg
Открыть лучший ответ