М
Молодежь
К
Компьютеры-и-электроника
Д
Дом-и-сад
С
Стиль-и-уход-за-собой
П
Праздники-и-традиции
Т
Транспорт
П
Путешествия
С
Семейная-жизнь
Ф
Философия-и-религия
Б
Без категории
М
Мир-работы
Х
Хобби-и-рукоделие
И
Искусство-и-развлечения
В
Взаимоотношения
З
Здоровье
К
Кулинария-и-гостеприимство
Ф
Финансы-и-бизнес
П
Питомцы-и-животные
О
Образование
О
Образование-и-коммуникации
Rusynyk
Rusynyk
09.04.2022 00:50 •  Алгебра

С.найдите область определения функции lg(x+1)+√x^2-9,log3(х-1)+1/√х^2-16

👇
Ответ:
belok909
belok909
09.04.2022
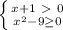
1) lg (x + 1) + \sqrt{ x^{2} - 9}

    \left \{ {{x + 1 \ \textgreater \ 0} \atop { x^{2} - 9 \geq 0}} \right.\left \{ {x \ \textgreater \ -1} \atop {(x - 3)(x + 3) \geq 0}} \right.

Для первого  x ∈ ( -1; +∞)
Для второго  x ∈ ( -∞; -3] ∪ [3; +∞)
ответ      x ∈ [ 3; +∞)

2)  log₃ (x - 1) + 1 / \sqrt{ x^{2} - 16}
\left \{ {{x-1 \ \textgreater \ 0} \atop { x^{2} - 16 \ \textgreater \ 0}} \right.
\left \{ {{x \ \textgreater \ 1} \atop {(x - 4)(x + 4) \ \textgreater \ 0}} \right.
  Для первого  x ∈ (1; +∞)
  Для второго  x ∈ (-∞; -4) ∪ (4; +∞)
  ответ     x ∈ (4; +∞)
4,4(2 оценок)
Открыть все ответы
Ответ:
seny0600
seny0600
09.04.2022
По определению логарифма  2х>0 ⇒x>0  2x≠1 x≠1/2
                                                 2x-x²>0
                                                 x(2-x)>  2-x>0 ⇒x<2
                                                 2x-x²≠1 т.к ㏒₂ₓ(1)=0, а на 0 делить нельзя
                                                 х²-2х+1=0
                                                 D=4-4=0
                                                  x≠1
x∈(0;1/2)∪(1/2;1)∪(1;2)
                                             
4,4(15 оценок)
Ответ:
androsova2016
androsova2016
09.04.2022

а)2sin²x-3sinx-2=0

Замена  sinx=t

2t²-3t-2=0

D=3²+4×2×2=25

t₁= 3+√D÷4=3+5÷ 4=8÷4=2

t₂=3-√D÷4=3-5÷4=-2÷4=-0,5

Возвращаемся к замене

sinx=2                                   sinx=-0,5

решения нет                          х=(1)⁻k(cтепень)arcsin(-1\2)+πn,n∈Z

  -1≤sinx ≥1                            x=(1)⁻k × -π\6 +πn,n∈Z

 

4cos²x+4sinx-1=0

 cos²x=1-sin²x

4( 1-sin²x)+4sinx-1=0

4-4sin²x+4sinx-1=0

-4sin²x+4sinx-1+4=0

-4 sin²x+4sinx+3=0      ÷(-1)

4sin²x-4sinx-3=0

Замена sinx=t

4t²-4t-3=0 

D=4²+4×4×3=16+48=64

t₁=4+√D÷8= 4+8÷8=12÷8=1,5

t₂=4-√D÷8=4-8÷8= -4÷8=-0,5

 Возвращаемся к замене

 sinx=1,5                                 sinx=-1\2
решения нет                         х=(1)⁻k(cтепень)arcsin(-1\2)+πn,n∈Z 
  -1≤sinx ≥1                              x=(1)⁻k × -π\6 +πn,n∈Z

 

4,8(20 оценок)
Это интересно:
Новые ответы от MOGZ: Алгебра
logo
Вход Регистрация
Что ты хочешь узнать?
Спроси Mozg
Открыть лучший ответ