




Сначала найдём значения параметра k. Приравняем оба графика, поскольку они пересекаются, а затем уже наложим дополнительные условия.
kx = -x² - 1
x² + kx + 1 = 0
Графики будут иметь одну общую точку тогда и только тогда, когда данное квадратное уравнение будет иметь 1 корень. Найдём те k, при которых данное квадратное уравнение имеет 1 корень. Если квадратное уравнение имеет 1 корень, то его дискриминант строго равен 0.
D = b² - 4ac = k² - 4
D = 0 k² - 4 = 0
k² = 4
k1 = 2; k2 = -2
Значит, при k = 2 и при k = -2 оба графика буцдут иметь ровно одну общую точку.
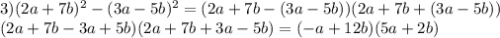
Теперь построим такие прямые. Надо построить y = -x² - 1 и прямые y = 2x, y = -2x. Скажу просто на всякий случай, что обе прямые будут симметричны относительно оси ox. Сейчас пришлю рисунок с построением(надеюсь, вы понимаете, как строятся эти прямые). Построение лишь приближённое и грубое, но видно, что обе прямые касаются параболы в какой-то точке, то есть фактически имеет с ней одну единственную точку.